Glutamate flavoring

Glutamate flavoring is the generic name for flavor-enhancing compounds based on glutamic acid and its salts (glutamates). These compounds provide an umami (savory) taste to food.

Crystalline monosodium glutamate (MSG)

Glutamic acid and glutamates are natural constituents of many fermented or aged foods, including soy sauce, fermented bean paste, and cheese. They can also be found in hydrolyzed proteins such as yeast extract. The sodium salt of glutamic acid, monosodium glutamate (MSG), is manufactured on a large scale and widely used in the food industry.

Glutamic acid versus glutamates

When glutamic acid or any of its salts are dissolved in water, they form a solution of separate negative ions, called glutamates, and positive ions like H
3
O+
or Na+
. The result is actually a chemical equilibrium among several ionized forms, including zwitterions, that depends on the pH (acidity) of the solution. Within the common pH range of foods, the prevailing ion can be described as OOC-C(NH+
3
)-(CH
2
)2-COO, which has an electric charge of −1.

Only the glutamate ion is responsible for the umami flavor, so the effect does not depend significantly on the starting compound. However, some crystalline salts such as monosodium glutamate dissolve much better and faster than crystalline glutamic acid. This has proven to be an important factor in the implementation of substances as flavor enhancers.

Discovery

Although they occur naturally in many foods, glutamic acid and other amino acid flavor contributions were not scientifically identified until early in the twentieth century. In 1866, the German chemist Karl Heinrich Ritthausen discovered and identified the compound. In 1907, Japanese researcher Kikunae Ikeda of the Tokyo Imperial University identified brown crystals left behind after the evaporation of a large amount of kombu broth as glutamic acid. These crystals, when tasted, reproduced the ineffable but undeniable flavor detected in many foods, especially seaweed. Professor Ikeda coined the term umami for this flavor. He then patented a method of mass-producing the crystalline salt of glutamic acid known as monosodium glutamate.[1][2]

Isomers

Further research into the compound has found that only the L-glutamate enantiomer has flavor-enhancing properties.[3] Manufactured monosodium glutamate consists to over 99.6% of the naturally predominant L-glutamate form, which is a higher proportion of L-glutamate than can be found in the free glutamate ions of fermented naturally occurring foods. Fermented products such as soy sauce, steak sauce, and Worcestershire sauce have levels of glutamate similar to those in foods with added monosodium glutamate. However, 5% or more of the glutamate may be the D-enantiomer. Nonfermented naturally occurring foods have lower relative levels of D-glutamate than fermented products do.[3]

Taste perception

Glutamic acid stimulates specific receptors located in taste buds such as the amino acid receptor T1R1/T1R3 or other glutamate receptors like the metabotropic receptors (mGluR4 and mGluR1), which induce the flavor known as umami. This is classified as one of the five basic tastes (the word "umami" is a loanword from Japanese; it is also referred to as "savory" or "meaty").

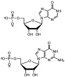
Structures of inosine-5'-monophosphate (top) and guanosine-5'-monophosphate (bottom).

The flavoring effect of glutamate comes from its free form, in which it is not bound to other amino acids in protein. Nonetheless, glutamate by itself does not elicit an intense umami taste. The mixing of glutamate with nucleotides inosine-5'-monophosphate (IMP) or guanosine-5'-monophosphate (GMP) enhances the taste of umami;[4] T1R1 and T1R3 respond primarily to mixtures of glutamate and nucleotides.[5] While research has shown that this synergism occurs in some animal species with other amino acids, studies of human taste receptors show that the same reaction only occurs between glutamate and the selected nucleotides. Moreover, sodium in monosodium glutamate may activate glutamate to produce a stronger umami taste.[6]

Two hypotheses for the explanation of umami taste transduction have been introduced: the first posits that the umami taste is transduced by an N-methyl-D-aspartate (NMDA) type glutamate ion channel receptor; the second posits that the taste is transduced by a metabotropic type glutamate receptor (taste-mGluR4).[7] The metabotropic glutamate receptors such as mGluR4 and mGluR1 can be easily activated at glutamate concentration levels found in food.[8]

Sources

Natural occurrence

Glutamate is ubiquitous in biological life. It is found naturally in all living cells, primarily in the bound form as a constituent of proteins. Only a fraction of the glutamate in foods is in its "free" form, and only free glutamate produces an umami flavor in foods. The savory flavor of tomatoes, fermented soy products, yeast extracts, certain sharp cheeses, and fermented or hydrolyzed protein products (such as soy sauce and fermented bean paste) is partially due to the presence of free glutamate ions.[9][10]

Asia

Japanese cuisine originally used broth made from kombu (kelp) to produce the umami taste in soups. Manufacturers, such as Ajinomoto, use selected strains of Corynebacterium glutamicum bacteria in a nutrient-rich medium. The bacteria are selected for their ability to excrete glutamic acid, which is then separated from the nutrient medium and processed into its sodium salt, monosodium glutamate.[11]

Rome

In the Roman Empire glutamic acid was found in a sauce called garum, made from fermenting fish in saltwater. The flavor enhancing properties of glutamic acid allowed Romans to reduce the use of expensive salt.[12][13]

Concentration in foods

The following table illustrates the glutamate content of some selected common foods. Free glutamate is the form directly tasted and absorbed whereas glutamate bound in protein is not available until further breakdown by digestion or cooking. In general, vegetables contain more free glutamate but less protein-bound glutamate.[14][15]

FoodFree glutamate (mg/100 g)Protein glutamate (mg/100 g)
Makombu (kelp)3190
Rausu kombu (kelp)2286
Rishiri kombu (kelp)1985
Hidaka kombu (kelp)1344
Nori (seaweed)1378
Marmite1960[16]
Vegemite1431[16]
Japanese fish sauce1383
Roquefort cheese1280
Parmesan cheese12009847
Korean soy sauce1264
Chinese soy sauce926
Japanese soy sauce782
Oyster sauce900
Green Tea668
Cured Ham337
Sardine280
Grape juice258
Clam208
Scallop159
Squid146
Oyster137
Mussel105
Peas2005583
Tomatoes140238
Corn1301765
Potatoes102
Cow milk2819
Human milk22229
Eggs231583
Chicken443309
Duck693636
Beef332846
Pork232325
Salmon202216

Hydrolyzed protein

Hydrolyzed proteins, or protein hydrolysates, are acid- or enzymatically treated proteins from certain foods. One example is yeast extract. Hydrolyzed protein contains free amino acids, such as glutamate, at levels of 5% to 20%. Hydrolyzed protein is used in the same manner as monosodium glutamate in many foods, such as canned vegetables, soups, and processed meats.

Safety as a flavor enhancer

Studies

Monosodium glutamate (MSG) is regarded as safe for consumption.[17][18] An association between MSG consumption and a constellation of symptoms has not been demonstrated under rigorously controlled conditions.[19][20][21] Techniques used to adequately control for experimental bias include a placebo-controlled double-blinded experimental design and the use of capsules to deliver the compound to mask the strong and unique after-taste of glutamates.[19] Even though there are also reports of MSG sensitivity among a subset of the population, this has not been demonstrated in placebo‐controlled trials.[20]

Controversy

Origin

The controversy surrounding the safety of MSG started on 4 April 1968, when Dr. Robert Ho Man Kwok wrote a correspondence letter to the New England Journal of Medicine, coining the term "Chinese restaurant syndrome".[22][23] In his letter, Kwok suggested several possible causes before he nominated MSG for his symptoms.[24][20] This letter was initially met with insider satirical responses, often using race as prop for humorous effect, within the medical community.[22] Some claimed that during the discursive uptake in media, the conversations were recontextualized as legitimate while the supposed race-based motivations of the humor were not parsed.[22]

In January 2018, Dr. Howard Steel came forth claiming that it was actually a prank submission by him under a pseudonym.[23][25] However, it turned out that there was a Dr. Robert Ho Man Kwok who worked at the National Biomedical Research Foundation, both names Steel claimed to have invented.[25] Kwok's children, his colleague at the research foundation, and the son of his boss there confirmed that Dr. Robert Ho Man Kwok, who had died in 2014, wrote this letter.[25] After hearing about Kwok's family, Steel's daughter Anna came to believe that the admission that the letter was a prank was itself one of the last pranks by her late father.[25]

Reactions

The misconceptions about MSG are tied to racial stereotypes about East Asians,[26][27][28] with people specifically targeting East Asian cuisine, whereas the widespread usage of MSG in Western processed food does not generate the same stigma.[29] For instance, the perpetuation of the negative image of MSG through the so-called Chinese restaurant syndrome has been attributed to xenophobic or racist biases.[30][31][32][33][34][35]

In 2020, Ajinomoto, the leading manufacturer of MSG, launched the #RedefineCRS campaign to combat what it said was the myth that MSG is harmful to people's health.[36] Following the #RedefineCRS campaign, Merriam-Webster announced it will be "reviewing" the term,[37] which was added to the dictionary in 1993.[38][39]

Regulations

Regulation timeline

In 1959, the U.S. Food and Drug Administration (FDA) classified monosodium glutamate as generally recognized as safe (GRAS).[40] This action stemmed from the 1958 Food Additives Amendment to the Federal Food, Drug, and Cosmetic Act that required premarket approval for new food additives and led the FDA to promulgate regulations listing substances, such as monosodium glutamate, which have a history of safe use or are otherwise GRAS.

Since 1970, FDA has sponsored extensive reviews on the safety of monosodium glutamate, other glutamates, and hydrolyzed proteins, as part of an ongoing review of safety data on GRAS substances used in processed foods. One such review was by the Federation of American Societies for Experimental Biology (FASEB) Select Committee on GRAS Substances. In 1980, the committee concluded that monosodium glutamate was safe at current levels of use but recommended additional evaluation to determine monosodium glutamate's safety at significantly higher levels of consumption. Additional reports attempted to look at this.

In 1986, FDA's Advisory Committee on Hypersensitivity to Food Constituents concluded that monosodium glutamate poses no threat to the general public but that reactions of brief duration might occur in some people. Other reports have given the following findings:

  • The 1987 Joint Expert Committee on Food Additives of the United Nations Food and Agriculture Organization and the World Health Organization placed monosodium glutamate in the safest category of food ingredients.
  • A 1991 report by the European Community's (EC) Scientific Committee for Foods reaffirmed monosodium glutamate's safety and classified its "acceptable daily intake" as "not specified", the most favorable designation for a food ingredient. In addition, the EC Committee said, "Infants, including prematures, have been shown to metabolize glutamate as efficiently as adults and therefore do not display any special susceptibility to elevated oral intakes of glutamate." Legislation in effect since June 2013 classifies glutamic acid and glutamates as salt substitutes, seasonings, and condiments[41] with a maximum level of consumption of 10g/kg expressed as glutamic acid.[42]

European Union

Following the compulsory EU-food labeling law the use of glutamic acid and its salts has to be declared, and the name or E number of the salt has to be listed. Glutamic acid and its salts as food additives have the following E numbers: glutamic acid: E620, monosodium glutamate: E621, monopotassium glutamate: E622, calcium diglutamate: E623, monoammonium glutamate: E624, and magnesium diglutamate: E625. In the European Union, these substances are regarded as "flavor enhancers" and are not allowed to be added to milk, emulsified fat and oil, pasta, cocoa/chocolate products and fruit juice. The EU has not yet published an official NOAEL (no observable adverse effect level) for glutamate, but a 2006 consensus statement of a group of German experts drawing from animal studies was that a daily intake of glutamic acid of 6 grams per kilogram of body weight (6 g/kg/day) is safe. From human studies, the experts noted that doses as high as 147g/day produced no adverse effects in males when given for 30 days; in a 70 kg (150 lb) male, this amount corresponds to 2.1 g per kg of body weight.[43]

United States

In 1959, the Food and Drug Administration classified MSG as a "generally recognized as safe" (GRAS) food ingredient under the Federal Food, Drug, and Cosmetic Act. In 1986, FDA's Advisory Committee on Hypersensitivity to Food Constituents also found that MSG was generally safe, but that short-term reactions may occur in some people. To further investigate this matter, in 1992 the FDA contracted the Federation of American Societies for Experimental Biology (FASEB) to produce a detailed report, which was published in 1995. The FASEB report reaffirmed the safety of MSG when it is consumed at usual levels by the general population, and found no evidence of any connection between MSG and any serious long-term reactions.[44]

Under 2003 U.S. Food and Drug Administration regulations, when monosodium glutamate is added to a food, it must be identified as "monosodium glutamate" in the label's ingredient list. Because glutamate is commonly found in food, primarily from protein sources, the FDA does not require foods and ingredients that contain glutamate as an inherent component to list it on the label. Examples include tomatoes, cheeses, meats, hydrolyzed protein products such as soy sauce, and autolyzed yeast extracts. These ingredients are to be declared on the label by their common or usual names.[44] The term 'natural flavor' is now used by the food industry when using glutamic acid. Because of lack of regulation, it is impossible to determine what percentage of 'natural flavor' is actually glutamic acid.

The food additives disodium inosinate and disodium guanylate are usually used in synergy with monosodium glutamate-containing ingredients, and provide a likely indicator of the addition of glutamate to a product.

As of 2002 the National Academy of Sciences Committee on Dietary Reference Intakes had not set a NOAEL or LOAEL for glutamate.[43][45]

Australia and New Zealand

Standard 1.2.4 of the Australia New Zealand Food Standards Code requires the presence of monosodium glutamate as a food additive to be labeled. The label must bear the food additive class name (such as "flavor enhancer"), followed by either the name of the food additive (such as "MSG") or its International Numbering System (INS) number (e.g., "621").

Canada

The Canada Food Inspection Agency considers claims of "no MSG" or "MSG free" to be misleading and deceptive when other sources of free glutamates are present.[46]

Ingredients

Forms of glutamic acid that can be added to food include:

  • Monosodium glutamate
  • Glutamic acid (E620), glutamate (E620)
  • Monopotassium glutamate (E622)
  • Calcium glutamate (E623)
  • Monoammonium glutamate (E624)
  • Magnesium glutamate (E625)
  • Sodium glutamate (E621)

The following are also rich sources of glutamic acid, and may be added for umami flavor:[1]

  • Hydrolyzed vegetable protein
  • Autolyzed yeast, yeast extract, yeast food, and nutritional yeast
  • Cheese products, e.g. parmesan (1200 mg / 100 g)
  • Various savory fermented seasonings, including soy sauce and worcestershire sauce
  • (See § Nature occurrence for more examples.)

See also

  • Adenosine monophosphate
  • Disodium glutamate
  • Guanosine monophosphate
  • Inosinic acid
  • List of food additives
  • Tien Chu Ve-Tsin

Notes

  1. Renton, Alex (July 10, 2005). "If MSG is so bad for you, why doesn't everyone in Asia have a headache?". The Guardian. Retrieved November 21, 2008.
  2. "Kikunae Ikeda Sodium Glutamate". Japan Patent Office. October 7, 2002. Archived from the original on October 28, 2007. Retrieved November 21, 2008.
  3. Rundlett KL, Armstrong DW (1994). "Evaluation of free D-glutamate in processed foods". Chirality. 6 (4): 277–82. doi:10.1002/chir.530060410. PMID 7915127.
  4. Halpern Bruce P (2000). "Glutamate and the Flavor of Foods". The Journal of Nutrition. 130 (4): 910S–914S. doi:10.1093/jn/130.4.910S. PMID 10736351.
  5. Kusuhara Y., Yoshida R., Ohkuri T., Yasumatsu K., Voigt A., Hübner S., Maeda K., Boehm U., Meyerhof W., Ninomiya Y. (2013). "Taste responses in mice lacking taste receptor subunit T1R1". The Journal of Physiology. 591 (7): 1967–1985. doi:10.1113/jphysiol.2012.236604. PMC 3624863. PMID 23339178.CS1 maint: multiple names: authors list (link)
  6. Kalapanda M.Appaiah. Monosodium Glutamate in Foods and its Biological Effects. In Ensuring Global Food Safety, 2010, pp. 217–226, doi:10.1016/B978-0-12-374845-4.00013-8
  7. Brand Joseph G (2000). "Receptor and Transduction Processes for Umami Taste". The Journal of Nutrition. 130 (4): 942S–945S. doi:10.1093/jn/130.4.942S. PMID 10736357.
  8. Chaudhari N., Landin A. M., Roper S. D. (2000). "A metabotropic glutamate receptor variant functions as a taste receptor". Nat. Neurosci. 3 (2): 113–119. doi:10.1038/72053. PMID 10649565. S2CID 16650588.CS1 maint: multiple names: authors list (link)
  9. U.S. Food and Drug Administration (November 19, 2012). "Questions and Answers on Monosodium glutamate (MSG): How is it Made?". Retrieved March 9, 2017.
  10. See column "Free glutamate" in the Concentration in foods subsection's table
  11. Michael C. Flickinger (2010). Encyclopedia of Industrial Biotechnology: Bioprocess, Bioseparation, and Cell Technology, 7 Volume Set. Wiley. pp. 215–225. ISBN 978-0-471-79930-6.
  12. Rossella Lorenzi (September 29, 2008). "Fish Sauce Used to Date Pompeii Eruption". Discovery News.
  13. K. Kris Hirst. "Roman Empire Fish Sauce Garum".
  14. "Sodium Glutamate: A Safety Assessment" (PDF). Food Standards Australia New Zealand. June 2003. Retrieved January 11, 2016.
  15. "Umami Information Center". Retrieved February 2, 2012.
  16. https://www.foodstandards.gov.au/publications/documents/MSG%20Technical%20Report.pdf
  17. "MSG in food". www.foodstandards.gov.au. Food Standards Australia New Zealand. October 2017.
  18. "Questions and Answers on Monosodium glutamate (MSG)". www.fda.gov. U.S. Food and Drug Administration. November 19, 2012.
  19. Tarasoff L.; Kelly M.F. (1993). "Monosodium L-glutamate: a double-blind study and review". Food Chem. Toxicol. 31 (12): 1019–1035. doi:10.1016/0278-6915(93)90012-N. PMID 8282275.
  20. Freeman, Matthew (2006). "Reconsidering the effects of monosodium glutamate: A literature review". Journal of the American Academy of Nurse Practitioners. 18 (10): 482–86. doi:10.1111/j.1745-7599.2006.00160.x. PMID 16999713. S2CID 21084909.
  21. Rosenblaum I.; Bradley J.; Coulston F. (February 1971). "Single and double blind studies with oral monosodium glutamate in man". Toxicology and Applied Pharmacology. 18 (2): 367–373. doi:10.1016/0041-008X(71)90129-3. PMID 4936399.
  22. LeMesurier, Jennifer L. (February 8, 2017). "Uptaking Race: Genre, MSG, and Chinese Dinner". Poroi. 12 (2). doi:10.13008/2151-2957.1253.
  23. Blanding, Michael. "The Strange Case of Dr. Ho Man Kwok". Colgate Magazine. Retrieved January 6, 2020.
  24. Kwok, Robert Ho Man (April 4, 1968). "Chinese-Restaurant Syndrome". New England Journal of Medicine. 278 (14): 796. doi:10.1056/NEJM196804042781419. PMID 25276867.
  25. Sullivan, Lilly (February 15, 2019). "668: The Long Fuse". This American Life. Retrieved January 7, 2020.
  26. Jiang, Irene (January 15, 2020). "McDonald's is testing chicken sandwiches with MSG, and people are freaking out. Here's why they shouldn't care one bit". Business Insider.
  27. Nierenberg, Amelia (January 16, 2020). "The Campaign to Redefine 'Chinese Restaurant Syndrome'". The New York Times.
  28. Davis, River (April 27, 2019). "The FDA Says It's Safe, So Feel Free to Say 'Yes' to MSG". The Wall Street Journal.
  29. "Why Do People Freak Out About MSG in Chinese Food?". AJ+. Al Jazeera Media Network. August 14, 2018. Event occurs at 0:00–1:00m and 5:20–8:30m via YouTube.
  30. LeMesurier, Jennifer L. (February 8, 2017). "Uptaking Race: Genre, MSG, and Chinese Dinner". Poroi. 12 (2). doi:10.13008/2151-2957.1253. Introduction: 'Chinese Restaurant Syndrome' as Rhetorical [...] Finally, I trace how the journalistic uptakes of this discussion, in only taking up certain medical phrases and terms, reproduce the tacit racism of this boundary policing while avowing the neutrality of medical authority.
  31. DeJesus, Erin (October 16, 2016). "Recapping Anthony Bourdain 'Parts Unknown' in Sichuan". Eater. Vox Media. See also "Bourdain, off the cuff: Sichuan". Explore Parts Unknown. CNN. Retrieved December 14, 2018. [On MSG]: You know what causes Chinese-restaurant syndrome? Racism. 'Ooh, I have a headache, must have been the Chinese guy.'
  32. Barry-Jester, Anna Maria (January 8, 2016). "How MSG Got A Bad Rap: Flawed Science And Xenophobia". FiveThirtyEight. That MSG causes health problems may have thrived on racially charged biases from the outset. Ian Mosby, a food historian, wrote in a 2009 paper titled "'That Won-Ton Soup Headache': The Chinese Restaurant Syndrome, MSG and the Making of American Food, 1968-1980" that fear of MSG in Chinese food is part of the U.S.'s long history of viewing the "exotic" cuisine of Asia as dangerous or dirty.
  33. "Why Do People Freak Out About MSG in Chinese Food?". AJ+. Al Jazeera Media Network. August 14, 2018 via YouTube.
  34. Blythman, Joanna (May 21, 2018). "Chinese restaurant syndrome: has MSG been unfairly demonised?". The Guardian. Although Chang doesn't use MSG in his kitchens, he has defended its use, telling a high-level meeting of top chefs that Chinese restaurant syndrome is nothing more than a "cultural construct". That is a polite way of saying that avoidance of MSG is an expression of Western ignorance, or worse, racism, drawing on stereotypes of East Asian countries as dangerous or dirty.
  35. Geiling, Natasha (November 8, 2013). "It's the Umami, Stupid. Why the Truth About MSG is So Easy to Swallow". Smithsonian. Everyone knows this connection, and probably associates MSG use in America most heavily with Chinese restaurants  thanks in large part to the absurdly racist name for MSG sensitivity "Chinese Restaurant Syndrome."
  36. Yeung, Jessie (January 19, 2020). "MSG in Chinese food isn't unhealthy -- you're just racist, activists say". CNN.
  37. Theisen, Lauren. "Activists launch campaign to fight 'Chinese restaurant syndrome' myth". nydailynews.com. Retrieved January 20, 2020.
  38. "Food fight takes aim at dictionary entry". January 16, 2020. Retrieved January 20, 2020.
  39. "Definition of CHINESE RESTAURANT SYNDROME". www.merriam-webster.com. Retrieved January 20, 2020.
  40. "Database of Select Committee on GRAS Substances (SCOGS) Reviews". U.S. Food and Drug Administration. Archived from the original on May 21, 2007. Retrieved March 22, 2008.
  41. European Community. "Food Additives Database". DG Sanco, Bruxelles. Archived from the original on April 22, 2016. Retrieved January 18, 2013.
  42. "COMMISSION REGULATION (EU) No 1129/2011". European Community.
  43. Beyreuther K, Biesalski HK, Fernstrom JD, et al. (March 2007). "Consensus meeting: monosodium glutamate – an update". Eur J Clin Nutr. 61 (3): 304–13. doi:10.1038/sj.ejcn.1602526. PMID 16957679.
  44. Meadows Michelle (January–February 2003). "MSG: A common flavor enhancer". FDA Consumer. United States Food and Drug Administration. 37 (1): 34–5. PMID 12625304.
  45. "Dietary Reference Intakes for Energy, Carbohydrate, Fiber, Fat, Fatty Acids, Cholesterol, Protein, and Amino Acids (Macronutrients)". Nap.edu. June 1, 2003. Retrieved February 16, 2012.
  46. "4 – Composition, Quality, Quantity and Origin Claims Sections 4.1–4.6". Canadian Food Inspection Agency. Inspection.gc.ca. March 3, 2011. Retrieved April 11, 2015.

References

  • Jordan Sand, "A Short History of MSG: Good Science, Bad Science, and Taste Cultures", Gastronomica '5':4 (Fall 2005). History of MSG and its marketing in Japan, Taiwan (under the Japanese), China, and the U.S.
  • Federal Register, Dec. 4, 1992 (FR 57467)
  • Federal Register, Jan. 6, 1993 (FR 2950)
  • FDA Consumer, December 1993, "Food Allergies: When Eating is Risky".
  • "The Long Fuse". This American Life (Radio broadcast). Episode 668. February 15, 2019. Public Radio Exchange (PRX). WBEZ. Retrieved February 21, 2019. See the segments "Prologue" and "Humor Is Not the Best Medicine" for the story behind "Chinese restaurant syndrome".
This article is issued from Wikipedia. The text is licensed under Creative Commons - Attribution - Sharealike. Additional terms may apply for the media files.