Lurosetron
Lurosetron (INN) is a serotonin 5-HT3 receptor antagonist.[1]
![]() | |
| Clinical data | |
|---|---|
| ATC code |
|
| Identifiers | |
IUPAC name
| |
| CAS Number |
|
| PubChem CID | |
| ChemSpider | |
| UNII | |
| KEGG | |
| CompTox Dashboard (EPA) | |
| Chemical and physical data | |
| Formula | C17H17FN4O |
| Molar mass | 312.348 g·mol−1 |
| 3D model (JSmol) | |
SMILES
| |
InChI
| |
| | |
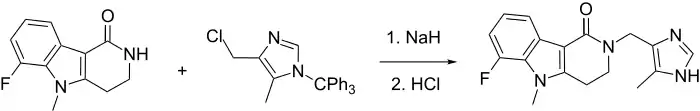
Synthesis

Lurosetron synthesis: EP 0353983
References
- Prakash SP, Cable KM, Correa ID, Fellows L, Montgomery S, Newman JJ, Waterhouse L, Wells GN, Sutherland DR (1995). "Synthesis of isotopically labelled pyridoindolone 5-HT3 receptor antagonists". Journal of Labelled Compounds and Radiopharmaceuticals. 36 (10): 993–1007. doi:10.1002/jlcr.2580361011.
This article is issued from Wikipedia. The text is licensed under Creative Commons - Attribution - Sharealike. Additional terms may apply for the media files.
