List of phenyltropanes

Phenyltropanes (PTs) are a family of chemical compounds originally derived from structural modification of cocaine. The main feature differentiating phenyltropanes from cocaine is that they lack the ester functionality at the 3-position terminating in the benzene; and thusly the phenyl is attached direct to the tropane skeleton with no further spacer (therefore the name "phenyl"-tropane) that the cocaine benzoyloxy provided. The original purpose of which was to extirpate the cardiotoxicity inherent in the local anesthetic "numbing" capability of cocaine (since the methylated benzoate ester is essential to cocaine's blockage of sodium channels which cause topical anesthesia) while retaining stimulant function.[lower-alpha 1] These compounds present many different avenues of research into therapeutic applications, particularly in addiction treatment. Uses vary depending on their construction and structure-activity relationship ranging from the treating of cocaine dependency to understanding the dopamine reward system in the human brain to treating Alzheimer's & Parkinson's diseases. (Since 2008 there have been continual additions to the list and enumerations of the plethora of types of chemicals that fall into the category of this substance profile.[2]) Certain phenyltropanes can even be used as a smoking cessation aid (c.f. RTI-29). Many of the compounds were first elucidated in published material by the Research Triangle Institute and are thus named with "RTI" serial-numbers (in this case the long form is either RTI-COC-n, for 'cocaine' "analog", or specifically RTI-4229-n of the subsequent numbers given below in this article)[lower-alpha 2] Similarly, a number of others are named for Sterling-Winthrop pharmaceuticals ("WIN" serial-numbers) and Wake Forest University ("WF" serial-numbers). The following includes many of the phenyltropane class of drugs that have been made and studied.

3D rendering of troparil; which comprises a privileged scaffold of among the phenyltropane class of compounds.
Troparil structure: c.f. U.S. Patent 5,496,953

2-Carboxymethyl esters (phenyl-methylecgonines)

Epibatropane[3] containing a nitrogen heteroatom in the benzene ring formation.
Tamagnan:[4] SSRI, SERT = 17(pM) = 10 times the strength of paroxetine for 5HT.
RTI-298
(4′-)para-cis-propenyl-phenyl-methylecgonine. A rare SDRI compound with negligible NET affinity (>2,800.0nM displacement value for NET ligand) that retains significant DAT & SERT (15.0nM & 7.1nM) affinity.
C2-C3 unsaturated (non-isomeric, neither α nor β orientated) 2-naphthyl-tropane
1-naphthyl-tropane in its usual (comparably non-standard) boat formation of its tropane ring.

Like cocaine, phenyltropanes are considered a 'typical' or 'classical' (i.e. "cocaine-like") DAT re-uptake pump ligands in that they stabilize an "open-to-out" conformation on the dopamine transporter; despite the extreme similarity to phenyltropanes, benztropine and others are in suchwise not considered "cocaine-like" and are instead considered atypical inhibitors insofar as they stabilize what is considered a more inward-facing (closed-to-out) conformational state.[5]

Considering the differences between PTs and cocaine: the difference in the length of the benzoyloxy and the phenyl linkage contrasted between cocaine and phenyltropanes makes for a shorter distance between the centroid of the aromatic benzene and the bridge nitrogen of the tropane in the latter PTs. This distance being on a scale of 5.6 Å for phenyltropanes and 7.7 Å for cocaine or analogs with the benzoyloxy intact.[lower-alpha 3] The manner in which this sets phenyltropanes into the binding pocket at MAT is postulated as one possible explanation to account for PTs increased behavioral stimulation profile over cocaine.[lower-alpha 4]

Blank spacings within tables for omitted data use "no data", "?", "-" or "" interchangeably.

2β-carbmethoxy-3β-(4′-substituted phenyl)tropanes (IC50 values)
monohalogen halide-phenyltropanes (11a—11e) alkyl-, & alkenyl-phenyltropanes (11r—11x) alkynyl-phenyltropanes (11y & 11z)
Structure Short Name
i.e. Trivial IUPAC
(non-systematic) Name
(Singh's #)
R (para-substitution)
of benzene
DA
[3H]WIN 35428
IC50 nM
(Ki nM)
5HT
[3H]paroxetine
IC50 nM
(Ki nM)
NE
[3H]nisoxetine
IC50 nM
(Ki nM)
selectivity
5-HTT/DAT
selectivity
NET/DAT
cocaine
(benzoyloxytropane)
H102 ± 12
241 ± 18ɑ
1045 ± 89
112 ± 2b
3298 ± 293
160 ± 15c
10.2
0.5d
32.3
0.7e
(para-hydrogen)phenyltropane
WIN 35,065-2 (β-CPT[lower-alpha 5]) Troparil
11a
H23 ± 5.0
49.8 ± 2.2ɑ
1962 ± 61
173 ± 13b
920 ± 73
37.2 ± 5.2c
85.3
3.5d
40.0
0.7e
para-fluorophenyltropane
WIN 35,428 (β-CFT[lower-alpha 6])
11b
F14 (15.7 ± 1.4)
22.9 ± 0.4ɑ
156 (810 ± 59)
100 ± 13b
85 (835 ± 45)
38.6 ± 9.9c
51.6
4.4d
53.2
1.7e
para-nitrophenyltropane
11k
NO210.1 ± 0.10????
para-aminophenyltropane
RTI-29[6]
11j
NH29.8
24.8 ± 1.3g
5110151521.415.4
para-chlorophenyltropane
RTI-31
11c
Cl1.12 ± 0.06
3.68 ± 0.09ɑ
44.5 ± 1.3
5.00 ± 0.05b
37 ± 2.1
5.86 ± 0.67c
39.7
1.3d
33.0
1.7e
para-methylphenyltropane
RTI-32 Tolpane
11f
Me1.71 ± 0.30
7.02 ± 0.30ɑ
240 ± 27
19.38 ± 0.65b
60 ± 0.53e
8.42 ± 1.53c
140
2.8d
35.1
1.2e
para-bromophenyltropane
RTI-51 Bromopane
11d
Br1.81 (1.69) ± 0.3010.6 ± 0.2437.4 ± 5.25.820.7
para-iodophenyltropane
RTI-55 (β-CIT) Iometopane
11e
I1.26 ± 0.04
1.96 ± 0.09ɑ
4.21 ± 0.3
1.74 ± 0.23b
36 ± 2.7
7.51 ± 0.82c
3.3
0.9d
28.6
3.8e
para-hydroxyphenyltropane
11h
OH12.1 ± 0.86
para-methoxyphenyltropane
11i
OCH38.14 ± 1.3
para-azidophenyltropane
11l
N32.12 ± 0.13
para-trifluoromethylphenyltropane
11m
CF313.1 ± 2.2
para-acetylaminophenyltropane
11n
NHCOCH364.2 ± 2.6
para-propionylaminophenyltropane
11o
NHCOC2H5121 ± 2.7
para-ethoxycarbonylaminophenyltropane
11p
NHCO2C3H5316 ± 48
para-trimethylstannylphenyltropane
11q
Sn(CH3)3144 ± 37
para-ethylphenyltropane
RTI-83
11g
Et55 ± 2.128.4 ± 3.8
(2.58 ± 3.5)
4030 (3910) ± 381
(2360 ± 230)
0.573.3
para-n-propylphenyltropane
RTI-282i
11r
n-C3H768.5 ± 7.170.4 ± 4.13920 ± 1301.057.2
para-isopropylphenyltropane
11s
CH(CH3)2597 ± 52191 ± 9.575000 ± 58200.3126
para-vinylphenyltropane
RTI-359
11t
CH-CH21.24 ± 0.29.5 ± 0.878 ± 4.17.762.9
para-methylethenylphenyltropane
RTI-283j
11u
C(=CH2)CH314.4 ± 0.33.13 ± 0.161330 ± 3330.292.4
para-trans-propenylphenyltropane
RTI-296i
11v
trans-CH=CHCH35.29 ± 0.5311.4 ± 0.281590 ± 932.1300
para-allylphenyltropane
11x
CH2CH=CH232.8 ± 3.128.4 ± 2.42480 ± 2290.975.6
para-ethynylphenyltropane
RTI-360
11y
C≡CH1.2 ± 0.14.4 ± 0.483.2 ± 2.83.769.3
para-propynylphenyltropane
RTI-281i
11z
C≡CCH32.37 ± 0.215.7 ± 1.5820 ± 466.6346
para-cis-propenylphenyltropane
RTI-304
11w
cis-CH=CHCH315 ± 1.27.1 ± 0.712,800k ± 3000.5186.6k
para-(Z)-phenylethenylphenyltropanecis-CH=CHPh11.7 ± 1.12
para-benzylphenyltropane-CH2-Ph526 ± 657,240 ± 390
(658 ± 35)
6670 ± 377
(606 ± 277)
13.712.6
para-phenylethenylphenyltropaneCH2

-C-Ph
474 ± 1332,710 ± 800
(246 ± 73)
7,060 ± 1,760
(4,260 ± 1,060)
5.714.8
para-phenylethylphenyltropanel-(CH2)2-Ph5.14 ± 0.63234 ± 26
(21.3 ± 2.4)
10.8 ± 0.3
(6.50 ± 0.20)
45.52.1
para-(E)-phenylethenylphenyltropanel
RTI-436
trans–CH=CHPh3.09 ± 0.75335 ± 150
(30.5 ± 13.6)
1960 ± 383
(1180 ± 231)
108.4634.3
para-phenylpropylphenyltropanel-(CH2)3-Ph351 ± 521,243 ± 381
(113 ± 35)
14,200 ± 1,800
(8,500 ± 1,100)
3.540.4
para-phenylpropenylphenyltropanel-CH=CH-CH2-Ph15.8 ± 1.31781 ± 258
(71 ± 24)
1,250 ± 100
(759 ± 60)
49.479.1
para-phenylbutylphenyltropanel-(CH2)4-Ph228 ± 214,824 ± 170
(439 ± 16)
2,310 ± 293
(1,390 ± 177)
21.110.1
para-phenylethynylphenyltropanel
RTI-298[7]
–≡–Ph3.7 ± 0.1646.8 ± 5.8
(4.3 ± 0.53)
347 ± 25
(209 ± 15)
12.693.7
para-phenylpropynylphenyltropanel[8]–C≡C-CH2Ph1.82 ± 0.4213.1 ± 1.7
(1.19 ± 0.42)
27.4 ± 2.6
(16.5 ± 1.6)
7.115
para-phenylbutynylphenyltropanel
RTI-430
–C≡C(CH2)2Ph6.28 ± 1.252180 ± 345
(198 ± 31)
1470 ± 109
(885 ± 66)
347.1234
para-phenylpentynylphenyltropanel–C≡C-(CH2)3-Ph300 ± 371,340 ± 232
(122 ± 21)
4,450 ± 637
(2,680 ± 384)
4.4614.8
para-trimethylsilylethynylphenyltropane[3]
para-hydroxypropynylphenyltropane[3]
para-hydroxyhexynylphenyltropanel–C≡C-(CH2)4OH57 ± 4828 ± 29
(75 ± 2.6)
9,500 ± 812
(5,720 ± 489)
14.5166.6
para-(thiophen-3-yl)phenyltropane
Tamagnan[4]
p-thiophene120.0171890.00141615.7
para-biphenyltropane
11aa
Ph10.3 ± 2.6f
29.4 ± 3.8ɑ
15.6 ± 0.6
95.8 ± 36
(8.7 ± 3.3)
1,480 ± 269
(892 ± 162)
6.194.8
3β-2-naphthyltropane
RTI-318
11bb
3β-2-naphthyl0.51 ± 0.03
3.32 ± 0.08f
3.53 ± 0.09ɑ
0.80 ± 0.06
(0.07 ± 0.1)
21.1 ± 1.0
(12.7 ± 0.60)
1.541.3
para-bimethoxyphenyltropane
15
OCH2OCH3h
  • ɑ[3H]DA uptake displacement Ki value.
  • b[3H]5-HT uptake displacement Ki value.
  • c[3H]NE uptake displacement Ki value.
  • d[3H]5-HT uptake to [3H]DA uptake ratio.
  • e[3H]NE uptake to [3H]DA uptake ratio.
  • fIC50 for displacement of [3H]cocaine.
  • gValues from alternate data-set differing from that used in rest of table.
  • hOriginal source (Scheme 4, page 931, 7th of article)[1] name given for compound (bottom of first ¶) is at variance with formula in scheme on same page: i.e. "methoxymethyl" versus "methoxymethoxy"
  • iProtonated as the (-)—tartrate salt (isomer)
  • jProtonated as the tartrate salt
  • kWas cited by S. Singh as 28,000nM for SERT or a DAT/SERT ratio of 1,867. However, in Singh's paper he cited J. Med. Chem. 1996, 39, 4030, Table 1[9] which shows a ten times lower value, which is consistent with numerous RTI patents published showing the ten-× lower value.
  • lWhereas many bulky additions to the arene unit of phenyltropanes hinder and impair affinity, it has been observed that the para-substituted rigid triple bond analogs terminating in a second phenyl (off of the initial C3 position phenyl) have a high-binding affinity, putatively attesting to the existence of another binding domain that extends beyond the usual ending point where the benzene accords to the acceptor somewhere along the length of range inhabited by the DAT, corresponding to a 180° extension outward from the para area of the aryl of these type of ligands.[8]

(4′-Monosubstituted 2,3-Thiophene phenyl)-tropanes

Tamagnan (thiophene) analogues of para-phenyltropanes.[4]
Compound structure Alphanumeric code
(name)
para-substitution N8 SERT DAT NET Selectivity
SERT versus DAT
Selectivity
SERT versus NET
1
(cocaine)
(—)-CocaineCH310508933200.083.2
2
(β-CIT), (Iometopane)
IodoCH30.46 ± 0.060.96 ± 0.152.80 ± 0.402.16.1
(R,S-Citalopram)1.6016,5406,19010,3383,869
4a2-ThiopheneCH30.15 ± 0.01552 ± 12.8158 ± 123461,053
4b
(Tamagnan)
3-ThiopheneCH30.017 ± 0.00412.1 ± 3189 ± 8271011,118
4c2-(5-Br)-ThiopheneCH30.38 ± 0.0086.43 ± 0.9324 ± 1917853
4d2-(5-Cl)-ThiopheneCH30.64 ± 0.044.42 ± 1.64311 ± 256.9486
4e2-(5-I)-ThiopheneCH34.56 ± 0.8422.1 ± 3.21,137 ± 1234.9249
4f2-(5-NH2)-ThiopheneCH364.7 ± 3.7>10,000>30,000>155>464
4g2-(4,5-NO2)-ThiopheneCH35,000>30,000>10,000>6.0>2.0
4h3-(4-Br)-ThiopheneCH34.02 ± 0.34183 ± 69>10,00046>2,488
5a2-ThiopheneH0.11 ± 0.00612.2 ± 0.975.3 ± 9.6111685
5b3-ThiopheneH0.23 ± 0.026.4 ± 0.2739 ± 0.828170

(3′,4′-Disubstituted phenyl)-tropanes

Compound
(+ S. Singh's name)
X
(4′-para)
Y
(3′-meta)
2 Positionconfig8DA5-HTNE
RTI-318
11bb
β-naphthylCO2Meβ,βNMe0.50.8120
Dichloropane (RTI-111ɑ)[10]
17c
ClClCO2Meβ,βNMe0.793.1318.0
RTI-88 [recheck]
17e
NH2ICO2Meβ,βNMe1.351329c320c
RTI-97
17d
NH2BrCO2Meβ,βNMe3.91181282
RTI-112b
17b
ClMeCO2Meβ,βNMe0.8210.536.2
RTI-96
17a
FMeCO2Meβ,βNMe2.9576520
RTI-295EtICO2Meβ,βNMe21.32.961349
RTI-353 (EINT)EtICO2Meβ,βNH3310.69148
RTI-279MeICO2Meβ,βNH5.981.0674.3
RTI-280MeICO2Meβ,βNMe3.126.81484
Meltzer[11]catecholCO2Meβ,βNMe>100??
Meltzer[11]OAcOAcCO2Meβ,βNMe???
  • ɑas ·HCl (salt)
  • bas ·HCl·2 H2O (salt)
  • cSingh gives the reverse value with respect to i.e. 1,329 for NET & 320 for 5-HT
Para-meta-substituted 2β-carbomethoxy-3α-(4′-substituted phenyl)tropanes[1]
Compound Short Name
(S. Singh)
R2 R1 DA 5HT NE Selectivity
5-HTT/DAT
Selectivity
NET/DAT
meta-fluorophenyltropane
16a
FH23 ± 7.8----
meta-chlorophenyltropane
16b
ClH10.6 ± 1.8----
meta-bromophenyltropane
16c
BrH7.93 ± 0.08ɑ----
meta-iodophenyltropane
16d
IH26.1 ± 1.7----
meta-tributylstannylphenyltropane
16e
SnBu3H1100 ± 170----
meta-ethynylphenyltropane[3]C≡CHH-----
meta-methyl-para-fluorophenyltropane
RTI-96
17a
CH3F2.95 ± 0.58----
meta-methyl-para-chlorophenyltropane
RTI-112c
17b
CH3Cl0.81 ± 0.0510.5 ± 0.0536.2 ± 1.013.044.7
meta-para-dichlorophenyltropane
RTI-111b[10] Dichloropane
17c
ClCl0.79 ± 0.08b3.13 ± 0.36b18.0 ± 0.8
17.96 ± 0.85'b'd
4.0b22.8b
meta-bromo-para-aminophenyltropane
RTI-97
17d
BrNH23.91 ± 0.5918128246.272.1
meta-iodo-para-aminophenyltropane
RTI-88
17e
INH21.35 ± 0.11120 ± 41329 ± 12488.9984
meta-iodo-para-azidophenyltropane
17f
IN34.93 ± 0.32----
  • ɑIC50 determined in Cynomolgous monkey caudate-putamen
  • bas ·HCl (salt)
  • cas ·HCl·2 H2O (salt)
  • dNEN
3β-(4-alkylthio, -methylsulfinyl, and -methylsulfonylphenyl)tropanes[12]
Structure Compound R X n Inhibition of [3H]WIN 35,428
@ DAT
IC50 (nM)
Inhibition of [3H]Paroxetine
@ 5-HTT
Ki (nM)
Inhibition of [3H]Nisoxetine
@ NET
Ki (nM)
NET/DAT
(uptake ratio)
NET/5-HTT
(uptake ratio)
CocaineDes-thio/sulfinyl/sulfonyl
H
HDesmethyl
0
89.19519902221
para-methoxyphenyltropane
Singh: 11i
Des-thio/sulfinyl/sulfonyl
OCH3
H06.5 ± 1.34.3 ± 0.51110 ± 64171258
7aCH3H09 ± 30.7 ± 0.2220 ± 1024314
7bC2H5H0232 ± 344.5 ± 0.51170 ± 3005260
7cCH(CH3)2H016 ± 223 ± 2129 ± 287
7dCF3H0200 ± 708 ± 21900 ± 30010238
7eCH3Br010.1 ± 10.6 ± 0.2121 ± 1212202
7fCH3Br176 ± 183.2 ± 0.4690 ± 809216
7gCH3H191 ± 164.3 ± 0.6515 ± 606120
7hCH3H2>10,000208 ± 45>10,000148

(2′,4′-Disubstituted phenyl)-tropanes

Ortho-para-substituted (2′,4′-disubstituted phenyltropanes)
Compound structure
Trivial IUPAC
(non-systematic)
Name
R2
ortho
R1
para
DA 5HT NE Selectivity
5-HTT/DAT
Selectivity
NET/DAT
ortho,para-dinitrophenyltropane[13]NO2NO2-----

(3′,4′,5′-Trisubstituted para-methoxyphenyl)-tropanes

Para-meta(3′)-meta(5′)-(di-meta)-substituted 2β-carbomethoxy-(3′,4′,5′-substituted phenyl)tropanes[14]
Para-methoxy/(ethoxy)-meta-substituted phenyltropanes
Structure
Short Name
(All compounds tested as HCl salts)
R2
3′-(meta)
R3
5′-(di-meta)
OR1
4′-(para)
DAT
IC50
[3H](compound #)12
5-HTT
Ki
[3H]Paroxetine
NET
Ki
[3H]Nisoxetine
Selectivity
NET/DAT
Ratio
Ki/IC50
Selectivity
NET/5-HTT
Ratio
Ki/Ki
Cocaine---89.19519902221
6
RTI-112
---0.82 ± 0.050.95 ± 0.0421.8 ± 0.62723
7a
11i
HHCH36.5 ± 1.34.3 ± 0.51110 ± 64171258
7bHHC2H592 ± 81.7 ± 0.41690 ± 5018994
7cFHCH316 ± 14.8 ± 0.5270 ± 501756
7dBrHCH347 ± 153.1 ± 0.1160 ± 20352
7fBrBrCH392 ± 222.9 ± 0.14100 ± 400ɑ451413
7eIHCH3170 ± 603.5 ± 0.4180 ± 20151
7gIICH31300 ± 2007.5 ± 0.8180 ± 204667

ɑN=2

(2′,4′,5′-Trisubstituted phenyl)-tropanes

Ortho-para(4′)-meta(5′)-trisubstituted 2β-carbomethoxy-(2′,4′,5′-substituted phenyl)tropanes[3]
Structure Short Name R1
2′-(ortho)
R2
4′-(para)
R3
5′-(meta)
DAT 5-HTT NET Selectivity
NET/DAT
Ratio
Selectivity
NET/5-HTT
Ratio
para-ethyl-ortho, meta-diiodophenyltropane[3]iodoethyliodo-----

2-Carbmethoxy modified (replaced/substituted)

2β-substitutions of p-methoxy-phenyltropanes

Para-OCH3-(3β-(4-Methoxyphenyl)tropane-2β-carboxylic acid ester analogues[15]
Structure
Short Name
(All compounds tested as HCl salts)
CO2R (2β-substituted)
(compound 9 is 2β=R)
DAT
IC50
[3H](compound #)12
5-HTT
Ki
[3H]Paroxetine
NET
Ki
[3H]Nisoxetine
Selectivity
NET/DAT
Ratio
Ki/IC50
Selectivity
NET/5-HTT
Ratio
Ki/Ki
7a
11i
CH36.5 ± 1.34.3 ± 0.51110 ± 64171258
8a(CH3)2CH14 ± 3135 ± 352010 ± 20014415
8bcyclopropane6.0 ± 229 ± 31230 ± 14020542
8ccyclobutane13 ± 3100 ± 8>300023130
8dO2N...1,4-xylene...(CH2)242 ± 82.9 ± 0.2330 ± 208114
8eH2N...1,4-xylene...(CH2)27.0 ± 28.3 ± 0.42200 ± 300ɑ314265
8fCH3CONH...1,4-xylene...(CH2)26.0 ± 15.5 ± 0.51460 ± 30243265
8gH2N...2-bromo-1,4-dimethylbenzene...(CH2)23.3 ± 1.44.1 ± 0.61850 ± 90561451
8hH2N...1,3-dibromo-2,5-dimethylbenzene...(CH2)215 ± 62.0 ± 0.42710 ± 250ɑ1811360
8iH2N...2-iodo-1,4-dimethylbenzene...(CH2)22.5 ± 0.73.5 ± 12040 ± 300ɑ816583
8jH2N...1,3-diiodo-2,5-dimethylbenzene...(CH2)2102 ± 151.0 ± 0.12600 ± 200ɑ252600
93-(4-methylphenyl)-1,2-oxazole18 ± 6860 ± 170>30001673

ɑN=2

2β-carboxy side-chained (p-chloro/iodo/methyl) phenyltropanes

Multi-substituted structures of 2β-ester-3β-phenyltropanes[1]
Compound
Short Name
(S. Singh)
R X IC50 (nM)
DAT
[3H]WIN 35428
IC50 (nM)
5-HTT
[3H]paroxetine
IC50 (nM)
NET
[3H]nisoxetine
Selectivity
5-HTT/DAT
Selectivity
NET/DAT
23aCH(CH3)2H85.1 ± 2.523121 ± 397632047 ± 1491272376
23bC6H5H76.7 ± 3.6106149 ± 725619262 ± 5931384251
24aCH(CH3)2Cl1.4 ± 0.13
6.04 ± 0.31ɑ
1400 ± 7
128 ± 15b
778 ± 21
250 ± 0.9c
1000
21.2d
556
41.4e
24bcyclopropylCl0.96 ± 0.10168 ± 1.8235 ± 8.39175245
24cC6H5Cl1.99 ± 0.05
5.25 ± 0.76ɑ
2340 ± 27
390 ± 34b
2960 ± 220
242 ± 30c
1176
74.3d
1.3
41.6e
24dC6H4-4-ICl32.6 ± 3.91227 ± 176967.6 ± 26.337.629.7
24eC6H4-3-CH3Cl9.37 ± 0.522153 ± 1432744 ± 140230293
24fC6H4-4-CH3Cl27.4 ± 1.51203 ± 421277 ± 11843.946.6
24gC6H4-2-CH3Cl3.91 ± 0.233772 ± 3844783 ± 3879651223
24hC6H4-4-ClCl55 ± 2.316914 ± 10564883 ± 28830788.8
24iC6H4-4-OCH3Cl71 ± 5.619689 ± 18431522 ± 9427721.4
24j(CH2)2C6H4-4-NO2Cl2.71 ± 0.13----
24k(CH)2C6H4-4-NH2Cl2.16 ± 0.25----
24l(CH2)2C6H3-3-I-4-NH2Cl2.51 ± 0.25----
24m(CH2)2C6H3-3-I-4-N3Cl14.5 ± 0.94----
24n(CH2)2C6H4-4-N3Cl6.17 ± 0.57----
24o(CH2)2C6H4-4-NCSCl5.3 ± 0.6----
24p(CH2)2C6H4-4-NHCOCH2BrCl1.73 ± 0.06----
25aCH(CH3)2I0.43 ± 0.05
2.79 ± 0.13ɑ
66.8 ± 6.53
12.5 ± 1.0b
285 ± 7.6
41.2 ± 3.0c
155
4.5d
663
14.8e
25bcyclopropylI0.61 ± 0.0815.5 ± 0.72102 ± 1125.4167
25cC6H5I1.51 ± 0.34
6.85 ± 0.93ɑ
184 ± 22
51.6 ± 6.2b
3791 ± 149
32.7 ± 4.4c
122
7.5d
2510
4.8e
26aCH(CH3)2CH36.45 ± 0.85
15.3 ± 2.08ɑ
6090 ± 488
917 ± 54b
1926 ± 38
73.4 ± 11.6c
944
59.9d
299
4.8e
26bCH(C2H5)2CH319.1 ± 14499 ± 5573444 ± 44235180
26ccyclopropylCH317.8 ± 0.76485 ± 212628 ± 25227.2148
26dcyclobutylCH33.74 ± 0.522019 ± 1334738 ± 3225401267
26ecyclopentylCH31.68 ± 0.141066 ± 109644 ± 28634383
26fC6H5CH33.27 ± 0.06
9.13 ± 0.79ɑ
24500 ± 1526
1537 ± 101b
5830 ± 370
277 ± 23c
7492
168d
1783
30.3e
26gC6H4-3-CH3CH38.19 ± 0.905237 ± 4532136 ± 208639261
26hC6H4-4-CH3CH381.2 ± 1615954 ± 6144096 ± 12119650.4
26iC6H4-2-CH3CH323.2 ± 0.9711040 ± 50425695 ± 13944761107
26jC6H4-4-ClCH3117 ± 7.942761 ± 23999519 ± 86436581.3
26kC6H4-4-OCH3CH395.6 ± 8.882316 ± 78523151 ± 28286133.0
  • ɑKi value for displacement of [3H]DA uptake.
  • bKi value for displacement of [3H]5-HT uptake.
  • cKi value for displacement of [3H]NE uptake.
  • d[3H]5-HT uptake to [3H]DA uptake ratio.
  • e[3H]NE uptake to [3H]DA uptake ratio.

Carboxyaryl

CompoundX2 Positionconfig8DA5-HTNE
RTI-122I-CO2Phβ,βNMe1.501843,791
RTI-113Cl-CO2Phβ,βNMe1.982,3362,955
RTI-277NO2-CO2Phβ,βNMe5.942,9105,695
RTI-120 [recheck]Me-CO2Phβ,βNMe3.2624,4715,833
RTI-116Cl-CO2(p-C6H4I)β,βNMe331,227968
RTI-203ClCO2(m-C6H4Me)β,βNMe9.3721532744
RTI-204Cl-CO2(o-C6H4Me)β,βNMe3.913,7724,783
RTI-205Me-CO2(m-C6H4Me)β,βNMe8.195,2372,137
RTI-206Cl-CO2(p-C6H4Me)β,βNMe27.41,2031,278

2-Phenyl-3-Phenyltropanes

2-Phenyl-3-phenyltropane binding affinities and inhibition of DA & 5-HT Uptake[1]
Compound Structure Short Name
(S. Singh)
Stereochemistry X
(para)
DAT
[3H]WIN 35428 IC50 (nM)
DAT
[3H]Mazindol Ki (nM)
5-HTT
[3H]Paroxetine IC50 (nM)
[3H]DA uptake Ki (nM) [3H]5-HT uptake Ki (nM) Selectivity
[3H]5-HT/[3H]DA
Cocaine(2β,3β)(H)89 ± 4.82811050 ± 894231550.4
67a2β,3βH12.6 ± 1.814.921000 ± 332028.9110038.1
67b2β,3αH-13.8-11.775364.3
67c2α,3αH690 ± 37-41300 ± 5300---
682β,3αF-6.00-4.5812226.6
69a2β,3βCH31.96 ± 0.082.5811000 ± 832.8773.825.7
69b2β,3αCH3-2.87-4.1628769.0
69c2α,3αCH3429 ± 59-15800 ± 3740---

Carboxyalkyl

CodeX2 Positionconfig8DA5-HTNE
RTI-77ClCH2C2(3-iodo-p-anilino)β,βNMe2.512247
RTI-121 IPCITI-CO2Priβ,βNMe0.4366.8285
RTI-153I-CO2Priβ,βNH1.063.59132
RTI-191I-CO2Prcycβ,βNMe0.6115.5102
RTI-114Cl-CO2Priβ,βNMe1.401,404778
RTI-278NO2-CO2Priβ,βNMe8.142,1474,095
RTI-190Cl-CO2Prcycβ,βNMe0.96168235
RTI-193Me-CO2Prcycβ,βNMe1.681,066644
RTI-117Me-CO2Priβ,βNMe6.456,0901,926
RTI-150Me-CO2Bucycβ,βNMe3.742,0204,738
RTI-127Me-CO2C(H)Et2β,βNMe1945003444
RTI-338ethyl-CO2C2Phβ,βNMe11047.413366

Use of a cyclopropyl ester appears to enable better MAT retention than does the choice of isopropyl ester.

Use of a cycBu resulted in greater DAT selectivity than did the cycPr homologue.

Esters (2-Alkyl)
2β-Alkyl Ester Phenyltropanes[1]
Structure Short Name
(S. Singh)
2β=R Ki (nM)
DAT
[3H]WIN 35428
IC50 (nM)
[3H]DA uptake
Selectivity
uptake/binding
59aCH=CHCO2CH322 ± 2123 ± 655.6
59bCH2CH2CO2CH323 ± 2166 ± 687.2
59c(CH2)2CH=CHCO2CH320 ± 2203 ± 7710.1
59d(CH22)4CO2CH330 ± 2130 ± 74.3
59eCH=CHCH2OH26 ± 3159 ± 436.1
59fCH2CH2CH2OH11 ± 164 ± 325.8
59gCH2CH2COC6H528 ± 247 ± 151.7
Ethers (2-Alkyl)

See the N-desmethyl Paroxetine homologues

2-Alkyl Ether Phenyltropanes[1]
Molecular Structure Short Name
(S. Singh)
Stereochemistry DAT
[3H]WIN 35428 IC50 (nM)
5-HTT
[3H]Paroxetine IC50 (nM)
NET
[3H]Nisoxetine IC50 (nM)
Selectivity
5-HTT/DAT
Selectivity
NET/DAT
Paroxetine623 ± 250.28 ± 0.02535 ± 150.00040.8
R-60a2β,3β308 ± 20294 ± 185300 ± 4500.917.2
R-60b2α,3β172 ± 8.852.9 ± 3.626600 ± 12000.3155
R-60c2β,3α3.01 ± 0.242.2 ± 16123 ± 9.514.140.9
S-60d2β,3β1050 ± 4588.1 ± 2.827600 ± 11000.0826.3
S-60e2α,3β1500 ± 74447 ± 472916 ± 19500.31.9
S-60f2β,3α298 ± 17178 ± 1312400 ± 7200.641.6

Carboxamides

U.S. Patent 5,736,123

Structure Code
(S. Singh #)
X2 Positionconfig8DA
[3H]WIN 35428 (IC50 nM)
NE
[3H]nisoxetine
5-HT
[3H]paroxetine (IC50 nM)
Selectivity
5-HTT/DAT
Selectivity
NET/DAT
RTI-106
27b
ClCON(H)Meβ,βNMe12.4 ± 1.171584 ± 621313 ± 46106128
RTI-118
27a
ClCONH2β,βNMe11.5 ± 1.64270 ± 3591621 ± 110141371
RTI-222
29d
Memorpholinylβ,βNMe11.7 ± 0.8723601 ± 1156>100K>85472017
RTI-129
27e
ClCONMe2β,βNMe1.38 ± 0.1942 ± 481079 ± 102792683
RTI-146
27d
ClCONHCH2OHβ,βNMe2.05 ± 0.23144 ± 397.8 ± 1047.770.2
RTI-147
27i
ClCON(CH2)4β,βNMe1.38 ± 0.033,950 ± 7212400 ± 120789852862
RTI-156ClCON(CH2)5β,βNMe6.6158323468
RTI-170ClCON(H)CH2C≡CHβ,βNMe16.518394827
RTI-172ClCON(H)NH2β,βNMe44.139143815
RTI-174ClCONHCOMeβ,βNMe158>43K>125K
RTI-182ClCONHCH2COPhβ,βNMe7.791722827
RTI-183
27 g
ClCON(OMe)Meβ,βNMe0.85 ± 0.06549 ± 18.5724 ± 94852646
RTI-186
29c
MeCON(OMe)Meβ,βNMe2.55 ± 0.43422 ± 263402 ± 3531334165
RTI-198
27h
ClCON(CH2)3β,βNMe6.57 ± 0.67990 ± 4.8814 ± 57124151
RTI-196
27c
ClCONHOMeβ,βNMe10.7 ± 1.259907 ± 63243700 ± 19604084926
RTI-201ClCONHNHCOPhβ,βNMe91.8>20K>48K
RTI-208
27j
ClCONO(CH2)3β,βNMe1.47 ± 0.131083 ± 762470 ± 561680737
RTI-214
27l
ClCON(-CH2CH2-)2Oβ,βNMe2.90 ± 0.38545 ± 20688769 ± 1855306102946
RTI-215
27f
ClCONEt2β,βNMe5.48 ± 0.195532 ± 2999433 ± 77017211009
RTI-217ClCONH(m-C6H4OH)β,βNMe4.78>30K>16K
RTI-218ClCON(Me)OMeβ,βNMe1.195201911
RTI-226
27 m
ClCONMePhβ,βNMe45.5 ± 32202 ± 49523610 ± 212851948.4
RTI-227ICONO(CH2)3β,βNMe0.75446230
RTI-229[16]
28a
ICON(CH2)4β,βNMe0.37 ± 0.04991 ± 211728 ± 3946702678
27k6.95 ± 1.211752 ± 2023470 ± 226499252
28b1.08 ± 0.15103 ± 6.273.9 ± 8.168.495.4
28c0.75 ± 0.02357 ± 42130 ± 15.8173476
29a41.8 ± 2.454398 ± 2716371 ± 374152105
29b24.7 ± 1.936222 ± 72933928 ± 21921374252

✲RTI-183 and RTI-218 suggest possible copy-error, seeing as "CON(OMe)Me" & "CON(Me)OMe" difference between methyl & methoxy render as the same.

2β-Carboxamide-3β-Phenyltropanes[1]
Compound Short Name
(S. Singh)
R X IC50 (nM)
DAT
[3H]WIN 35428
IC50 (nM)
5-HTT
[3H]Paroxetine
IC50 (nM)
NET
[3H]Nisoxetine
Selectivity
5-HTT/DAT
Selectivity
NET/DAT
29aNH2CH341.8 ± 2.456371 ± 3744398 ± 271152105
29bN(CH2CH3)2CH324.7 ± 1.9333928 ± 21926222 ± 7291374252
29c
RTI-186
N(OCH3)CH3CH32.55 ± 0.433402 ± 353422 ± 261334165
29d
RTI-222
4-morpholineCH311.7 ± 0.87>10000023601 ± 1156>85472017

Carboxamide linked phenyltropanes dimers


Dimers of phenyltropanes, connected in their dual form using the C2 locant as altered toward a carboxamide structural configuring (in contrast and away from the usual inherent ecgonine carbmethoxy), as per Frank Ivy Carroll's patent inclusive of such chemical compounds, possibly so patented due to being actively delayed pro-drugs in vivo.[3]

Heterocycles

These heterocycles are sometimes referred to as the "bioisosteric equivalent" of the simpler esters from which they are derived. A potential disadvantage of leaving the ββ-ester unreacted is that in addition to being hydrolyzable, it can also epimerize[17] to the energetically more favorable trans configuration. This can happen to cocaine also.

Atomic positions A—C
(compound model 34)

Several of the oxadiazoles contain the same number and types of heteroatoms, while their respective binding potencies display 8×-15× difference. A finding that would not be accounted for by their affinity originating from hydrogen bonding.

To explore the possibility of electrostatic interactions, the use of molecular electrostatic potentials (MEP) were employed with model compound 34 (replacing the phenyltropane moiety with a methyl group). Focusing on the vicinity of the atoms @ positions A—C, the minima of electrostatic potential near atom position A (ΔVmin(A)), calculated with semi-empirical (AM1) quantum mechanics computations (superimposing the heterocyclic and phenyl rings to ascertain the least in the way of steric and conformational discrepancies) found a correlation between affinity @ DAT and ΔVmin(A): wherein the values for the latter for 32c = 0, 32g = -4, 32h = -50 & 32i = -63 kcal/mol.

In contrast to this trend, it is understood that an increasingly negative ΔVmin is correlated with an increase of strength in hydrogen bonding, which is the opposing trend for the above; this indicates that the 2β-substituents (at least for the heterocyclic class) are dominated by electrostatic factors for binding in-the-stead of the presumptive hydrogen bonding model for this substituent of the cocaine-like binding ligand.[lower-alpha 7]

3-Substituted-isoxazol-5-yl

N-methylphenyltropanes with 1R β,β stereochemistry.
Code
(S.S. #)
X R DA NE 5HT
RTI-165Cl3-methylisoxazol-5-yl0.59181572
RTI-171Me3-methylisoxazol-5-yl0.932543818
RTI-180I3-methylisoxazol-5-yl0.7367.936.4
RTI-177 β-CPPIT
32g
Cl3-phenylisoxazol-5-yl1.28 ± 0.18504 ± 292420 ± 136
RTI-176Me3-phenylisoxazol-5-yl1.583985110
RTI-181I3-phenylisoxazol-5-yl2.57868100
RTI-184Hmethyl43.36208
RTI-185HPh285>12K
RTI-334Cl3-ethylisoxazol-5-yl0.501203086
RTI-335Clisopropyl1.199542318
RTI-336Cl3-(4-methylphenyl)isoxazol-5-yl4.0917145741
RTI-337Cl3-t-butyl-isoxazol-5-yl7.31632137K
RTI-345Clp-chlorophenyl6.425290>76K
RTI-346Clp-anisyl1.577625880
RTI-347Clp-fluorophenyl1.869187257
RTI-354Me3-ethylisoxazol-5-yl1.622996400
RTI-366MeR = isopropyl4.52523 (1550)42,900 (3900)
RTI-371Mep-chlorophenyl8.74>100K (60,200)>100K (9090)
RTI-386Mep-anisyl3.93756 (450)4027 (380)
RTI-387Mep-fluorophenyl6.45917 (546)>100K (9400)

3-Substituted-1,2,4-oxadiazole

Heterocyclic (N-methyl)phenyltropanes with 1R stereochemistry.
Structure Code
(Singh's #)
X R DAT (IC50 nM)
displacement of [H3]WIN 35428
NET (IC50 nM)
[H3]nisoxetine
5-HTT (IC50 nM)
[H3]paroxetine
Selectivity
5-HTT/DAT
Selectivity
NET/DAT
ααRTI-87H3-methyl-1,2,4-oxadiazole20436K30K
βαRTI-119H3-methyl-1,2,4-oxadiazole1677K41K
αβRTI-124H3-methyl-1,2,4-oxadiazole102871K33K
RTI-125
(32a)
Cl3-methyl-1,2,4-oxadiazole4.05 ± 0.57363 ± 362584 ± 80063789.6
ββRTI-126[18]
(31)
H3-methyl-1,2,4-oxadiazole100 ± 67876 ± 5513824 ± 42038.3788
RTI-130
(32c)
Cl3-phenyl-1,2,4-oxadiazole1.62 ± 0.02245 ± 13195 ± 5120151
RTI-141
(32d)
Cl3-(p-anisyl)-1,2,4-oxadiazole1.81 ± 0.19835 ± 8337 ± 40186461
RTI-143
(32e)
Cl3-(p-chlorophenyl)-1,2,4-oxadiazole4.06 ± 0.2240270 ± 180
(4069)
404 ± 5699.59919
RTI-144
(32f)
Cl3-(p-bromophenyl)-1,2,4-oxadiazole3.44 ± 0.361825 ± 170106 ± 1030.8532
βRTI-151
(33)
Me3-phenyl-1,2,4-oxadiazole2.33 ± 0.2660 ± 21074 ± 13045925.7
αRTI-152Me3-phenyl-1,2,4-oxadiazole4941995
RTI-154
(32b)
Cl3-isopropyl-1,2,4-oxadiazole6.00 ± 0.55135 ± 133460 ± 25057722.5
RTI-155Cl3-cyclopropyl-1,2,4-oxadiazole3.411774362
RTI-4229-470 structure. Highly excited 94 pM DAT signal.[19]

above: 2D skeletal depiction.

below: 3D tube model.
N-methylphenyltropanes with 1R β,β stereochemistry.
Structure Code X 2 Group DAT (IC50 nM)
displacement of [H3]WIN 35428
NET (IC50 nM)

displacement of [H3]nisoxetine
5-HTT (IC50 nM)

displacement of [H3]paroxetine
Selectivity
5-HTT/DAT
Selectivity
NET/DAT
RTI-157Metetrazole1557>37K>43K
RTI-163Cltetrazole9115456
RTI-178Me5-phenyl-oxazol-2-yl35.46771699
RTI-188Cl5-phenyl-1,3,4-oxadiazol-2-yl12.69303304
RTI-189
(32i)
Cl5-phenyl-oxazol-2-yl19.7 ± 1.98496 ± 421120 ± 10756.825.5
RTI-194Me5-methyl-1,3,4-oxadiazol-2-yl4.452534885
RTI-195Me5-phenyl-1,3,4-oxadiazol-2-yl47.51310>22,000
RTI-199Me5-phenyl-1,3,4-thiadiazol-2-yl35.9>24,000>51,000
RTI-200Cl5-phenyl-1,3,4-thiadiazol-2-yl15.34142>18,000
RTI-202Clbenzothiazol-2-yl1.374031119
RTI-219Cl5-phenylthiazol-2-yl5.71851610,342
RTI-262Cl188.2 ± 5.01595.25 ± 57385207 ± 48831628
RTI-370Me3-(p-cresyl)isoxazol-5-yl8.746980>100K
RTI-371Cl3-(p-chlorophenyl)isoxazol-5-yl13>100K>100K
RTI-436Me-CH=CHPh[20]3.091960 (1181)335 (31)
RTI-470Clo-Cl-benzothiazol-2-yl0.0941590 (994)1080 (98)
RTI-451Mebenzothiazol-2-yl1.53476 (287)7120 (647)
32g1.28 ± 0.18504 ± 292420 ± 1361891394
32h12.6 ± 10.3929 ± 88330 ± 19626273.7
Above is taken from: RTI, Kuhar, et al. U.S. Patent 5,935,953 (1999).

N.B There are some alternative ways of making the tetrazole ring however; C.f. the sartan drugs synthesis schemes. Bu3SnN3 is a milder choice of reagent than hydrogen azide (c.f. Irbesartan).

Acyl (C2-propanoyl)

Indolyl[21]
cf. the Tamagnan series of phenyltropanes for examples with a methylene unit spacer breaking up the indole.
#
(#)
XY2 Positionconfig8DA5-HTNE
WF-23
(39n)
β-naphthylC(O)Etβ,βNMe0.1150.394No data
WF-31 PIT-PriHC.O.Etβ,βNMe61554.5No data
WF-11 PTT
(39e)
MeH-C.O.Etβ,βNMe8.2131No data
WF-25
(39a)
HH-C.O.Etβ,βNMe48.31005No data
WF-336-MeoBNC(O)Etα,βNMe0.132.24No data
Compound WF-11 has been shown, under consistent exposure, to elicit a biological response opposite of cocaine i.e. tyrosine hydroxylase gene expression down-regulation (instead of up-regulation as has been observed to be the case for chronic cocaine administration)
2β-acyl-3β-phenyltropane structures[lower-alpha 8]
Structure S. Singh's
alphanumeric
assignation
(name)
R1 R2 DAT

[125I]RTI-55 IC50 (nM)

5-HTT

[3H]Paroxetine Ki (nM)

Selectivity

5-HTT/DAT

cocaine173 ± 19
Troparil
11a
(WIN 35065-2)
98.8 ± 12.2
WF-25
39a
C2H5C6H548.3 ± 2.81005 ± 11220.8
39bCH3C6H5114 ± 221364 ± 61612.0
39cC2H5C6H4-4-F15.3 ± 2.8630 ± 6741.2
39dCH3C6H4-4-F70.8 ± 13857 ± 18712.1
WF-11
39e
C2H5C6H4-4-CH38.2 ± 1.6131 ± 116.0
(+)-39eC2H5C6H4-4-CH34.21 ± 0.0574 ± 1217.6
(-)-39eC2H5C6H4-4-CH31337 ± 122>10000
39fCH3C6H4-4-CH39.8 ± 0.5122 ± 2212.4
39gCH3C6H4-4-C2H5152 ± 2478.2 ± 220.5
39hC2H5C6H4-4-CH(CH3)2436 ± 4135.8 ± 4.40.08
39iC2H5C6H4-4-C(CH3)32120 ± 6301771 ± 4740.8
39jC2H5C6H4-4-C6H52.29 ± 1.084.31 ± 0.011.9
39kC2H5C6H4-2-CH31287 ± 322710000>7.8
39lC2H51-naphthyl5.43 ± 1.2720.9 ± 2.93.8
39mCH31-naphthyl10.1 ± 2.225.6 ± 5.12.5
WF-23
39n
C2H52-naphthyl0.115 ± 0.0210.394 ± 0.0743.5
39oCH32-naphthyl0.28 ± 0.111.06 ± 0.363.8
39pC2H5C6H4-4-CH(C2H5)2270 ± 38540 ± 512.0
39qC2H5C6H4-4-C6H11320 ± 5597 ± 120.30
39rC2H5C6H4-4-CH=CH20.90 ± 0.343.2 ± 1.33.5
39sC2H5C6H4-4-C(=CH2)CH37.2 ± 2.10.82 ± 0.380.1

2β-Acyl-3β-naphthyl substituted

2β-Acyl-3β-(substituted naphthyl)-8-azabicyclo[3.2.1]octanes[22]
Structure Short Assignation
(Numeric code, Davies UB)
S. Singh
R DAT
[125H]RTI-55ɑ
IC50 nM
SERT
[3H]paroxetineb
Ki nM
NET
[3H]nisoxetinec
Ki nM
potency ratio
SERT/DAT
potency ratio
SERT/NET
WF-11
(6)
4′-Me8.2 ± 1.6131 ± 1065 ± 9.20.060.5
WF-31
(7)
4′-iPr436 ± 4136 ± 4>10,00012>250
WF-23
(8)
2-naphthalene0.12 ± 0.020.39 ± 0.072.9 ± 0.50.37
2β-acyl-3β-1-naphthalene
(9a)
4′-H5.3 ± 1.321 ± 2.949 ± 100.318
(9b)4′-Me25.1 ± 0.58.99 ± 1.70163 ± 36318
(9c)4′-Et75.1 ± 11.9175 ± 254769 ± 6880.727
(9d)4′-iPr225 ± 36136 ± 64>10,0002>73.5
(10a)6′-Et0.15 ± 0.040.38 ± 0.1927.7 ± 9.60.474
(10b)6′-iPr0.39 ± 0.041.97 ± 0.33no data0.2
(10ce)6′- OMe0.13 ± 0.042.24 ± 0.34no data0.05
(10d)5′-Et, 6′-OMe30.8 ± 6.67.55 ± 1.573362 ± 1484.1445
(10e)5′-C(Me)=CH2, 6′-OMe45.0 ± 3.788.0 ± 13.32334 ± 3780.526.5
(10f)6′-I0.35 ± 0.070.37 ± 0.02no data1.0
(10g)7′-I0.45 ± 0.050.47 ± 0.02no data0.5d
(10h)5′-NO2, 6′-OMe148 ± 5015 ± 1.6no data10
(10i)5′-I, 6′-OMe1.31 ± 0.332.27 ± 0.31781 ± 1810.6344
(10j)5′-COMe, 6′-OMe12.6 ± 3.815.8 ± 1.65498 ± 240.832
(11a)2β-COCH3, 1-naphthyl10 ± 2.226 ± 5.1165 ± 400.46.3
(11b)2α-COCH3, 1-naphthyl97 ± 21217 ± 55no data0.45
(11c)2α-COCH2CH3, 2-naphthyl2.51 ± 0.8216.4 ± 2.068.0 ± 10.80.154.1
(11d)2β-COCH3, 2-naphthyl1.27 ± 0.151.06 ± 0.364.9 ± 1.21.24.6
(11e)2β-COCH(CH3)2, 2-naphthyl0.25 ± 0.082.08 ± 0.8037.6 ± 10.50.1218.1
(11f)
79a
2β-COCH2CH3, 2-naphthyl, N8-demethyl0.03 ± 0.010.23 ± 0.072.05 ± 0.90.138.9
  • ɑ nonspecific binding was determined in the presence of 1.0 μM WF-23
    (source equates WF-23 as analogue 3a, but table gives # as analogue 8)
  • b nonspecific binding was determined in the presence of 10.0 μM fluoxetine
  • c nonspecific binding was determined in the presence of 1.0 μM desipramine
  • d ratio shown as halved; a possible copy-error due to closeness to 1:1 of other indicated values
  • e sources differ on whether C2 position acyl is alpha or beta configured

Ester reduction

Note: p-fluorophenyl is weaker than the others. RTI-145 is not peroxy, it is a methyl carbonate.

CodeX2 Positionconfig8DA5-HTNE
RTI-100F-CH2OHβ,βNMe474741no data
RTI-101I-CH2OHβ,βNMe2.226no data
RTI-99Br-CH2OHβ,βNMe1.4951no data
RTI-93Cl-CH2OHβ,βNMe1.5320443.8
RTI-105Cl-CH2OAcβ,βNMe1.60143127
RTI-123Cl-CH2OBzβ,βNMe1.783.53393
RTI-145Cl-CH2OCO2Meβ,βNMe9.602.931.48

2-Alkane/Alkene

2-Alkane/Alkene-3-Phenyltropanes
Structure Singh's # R X DAT
mazindol displacement
DA uptake 5-HT Uptake Selectivity
DA uptake/DAT binding
11a
WIN 35062-2
89.453.71860.6
11c0.83 ± 00.728.5 ± 0.934.3
11f5.766.9223.21.2
41a(CH2)2CH3H12.26.8986.80.6
41b(CH2)3C6H5H16 ± 2a43 ± 13b2.7
42(CH2)2CH3F5.281.9921.70.4
43aCH=CH2Cl0.59 ± 0.152.47 ± 0.54.2
43bE-CH=CHClCl0.42 ± 0.041.13 ± 0.272.7
43cZ-CH=CHClCl0.22 ± 0.020.88 ± 0.054.0
43dE-CH=CHC6H5Cl0.31 ± 0.040.66 ± 0.012.1
43eZ-CH=CHC6H5Cl0.14 ± 0.070.31 ± 0.092.2
43fCH2CH3Cl2.17 ± 0.202.35 ± 0.521.1
43 g(CH2)2CH3Cl0.94 ± 0.081.08 ± 0.051.1
43h(CH2)3CH3Cl1.21 ± 0.180.84 ± 0.050.7
43i(CH2)5CH3Cl156 ± 15271 ± 31.7
43j(CH2)2C6H5Cl1.43 ± 0.031.54 ± 0.081.0
44a(CH2)2CH3CH31.571.1010.30.7
44b(CH2)3CH3CH31.821.3115.10.7
45(CH2)2CH3H74.930.23890.4
46(CH2)2CH3F21.112.199.60.6
47a(CH2)2CH3CH38.9111.850.11.3
47b(CH2)3CH3CH311.410.151.00.9

aKi value for displacement of WIN 35428.
bIC50 value.

Compound 48
para-hydro
para-chloro

Irreversible covalent (cf. ionic) C2 ligands


Irreversible (phenylisothiocyanate) binding ligand (Murthy, V.; Martin, T. J.; Kim, S.; Davies, H. M. L.; Childers, S. R. (2008). "In Vivo Characterization of a Novel Phenylisothiocyanate Tropane Analog at Monoamine Transporters in Rat Brain". Journal of Pharmacology and Experimental Therapeutics. 326 (2): 587–595. doi:10.1124/jpet.108.138842. PMID 18492949.)[23] RTI-76:[24] 4′-isothiocyanatophenyl (1R,2S,3S,5S)-3-(4-chlorophenyl)-8-methyl-8-azabicyclo[3.2.1]octane-2-carboxylate. Also known as: 3β-(p-chlorophenyl)tropan-2β-carboxylic acid p-isothiocyanatophenylmethyl ester.

C2 Acyl, N8 phenylisothiocyanate


HD-205 (Murthy et al., 2007)[25]

Note the contrast to the phenylisothiocyanate covalent binding site locations as compared to the one on p-Isococ, a non-phenyltropane cocaine analogue.

Benztropine based (C2-position hetero-substituted) phenyltropanes


2-(Diarylmethoxymethyl)-3β-aryltropanes & 2β-[3-(Diarylmethoxy)propyl]-3β-aryltropanes.[26][27]
Structure Compound R X Y [3H]WIN 35,428
@ DAT
Ki (nM)
[3H]Citalopram
@ SERT
Ki (nM)
[3H]Nisoxetine
@ NET
Ki (nM)
[3H]Pirenzepine
@ M1
Ki (nM)
9aCH3HH34 ± 2121 ± 19684 ± 10010,600 ± 1,100
9bFHH49 ± 12
9cClHH52 ± 2.1147 ± 81,190 ± 7211,000 ± 1,290
9dCH3ClH80 ± 9443 ± 604,400 ± 23831,600 ± 4,300
9eFClH112 ± 11
9fClClH76 ± 7462 ± 362,056 ± 23639,900 ± 5,050
9gCH3FF62 ± 7233 ± 241,830 ± 17715,500 ± 1,400
9hFFF63 ± 13
9iClFF99 ± 18245 ± 162,890 ± 22216,300 ± 1,300
10aCH3HH455 ± 36530 ± 722,609 ± 19512,600 ± 1,790
10cClHH478 ± 72408 ± 163,998 ± 25611,500 ± 1,720
10dCH3ClH937 ± 841,001 ± 10922,500 ± 2,82118,200 ± 2,600
10fClClH553 ± 1061,293 ± 405,600 ± 1839,600 ± 600
10gCH3FF690 ± 76786 ± 6716,000 ± 6379,700 ± 900
10iClFF250 ± 40724 ± 10052,300 ± 13,6009,930 ± 1,090
12aHHH139 ± 1561 ± 9207 ± 307,970 ± 631
12bHClH261 ± 1945 ± 324,600 ± 2,930
12cHFF60 ± 7

F&B series (Biotin side-chains etc.)

One patent claims a series of compounds with biotin-related sidechains are pesticides.[18]

StructureCodepara-XC2-Tropane PositionconfigDANE5-HT
HF1β,β
RTI-224MeF1cβ,β4.49155.6
RTI-233MeF2β,β4.3851673.6
RTI-235MeF3dβ,β1.7540272.4
F3β,β
RTI-236MeB1dβ,β1.6386.8138
RTI-237MeB2dβ,β7.27258363
RTI-244MeB3dβ,β15.6180933.7
RTI-245ClF4cβ,β77.3
RTI-246MeF4cβ,β50.33000
F5β,β
RTI-248ClF6cβ,β9.7346746.96
RTI-249ClF1cβ,β8.32502381.6
RTI-266MeF2β,β4.80836842
RTI-267MeF7 wrongβ,β2.52324455
RTI-268MeF7 rightβ,β3.891014382
RTI-269MeF8β,β5.55788986

Miscellany (i.e. Misc./Miscellaneous) C2-substituents

StructureCodeX2 Positionconfig8DA5-HTNE
RTI-102ICO2Hβ,βNMe474192843,400
RTI-103BrCO2Hβ,βNMe278307017,400
RTI-104FCO2Hβ,βNMe2744>100K>100K
RTI-108Cl-CH2Clβ,βNMe2.6498129.8
RTI-241Me-CH2CO2Meβ,βNMe1.02619124
RTI-139Cl-CH3β,βNMe1.678557
RTI-161Cl-C≡Nβ,βNMe13.118872516
RTI-230ClH3C–C=CH2β,βNMe1.2857141
RTI-240Cl-CHMe2β,βNMe1.3838.484.5
RTI-145Cl-CH2OCO2Meβ,βNMe9.602,9321,478
RTI-158Me-C≡Nβ,βNMe5750951624
RTI-131Me-CH2NH2β,βNMe10.5855120
RTI-164Me-CH2NHMeβ,βNMe13.62246280
RTI-132Me-CH2NMe2β,βNMe3.48206137
RTI-239Me-CHMe2β,βNMe0.6111435.6
RTI-338Et-CO2CH2Phβ,βNMe11047.413366
RTI-348H-Phβ,βNMe28.2>34,0002670

C2-truncated/descarboxyl (non-ecgonine w/o 2-position-replacement tropanes)

Aryl-Tropenes

WO2004113297

Test compoundDA-uptake IC50(μM)NA-uptake IC50(μM)5-HT-uptake IC50(μM)
(+)-3-(4-Chlorophenyl)-8-H-aza-bicyclo[3.2.1]oct-2-ene0.260.0280.010
(+)-3-Napthalen-2-yl-8-azabicyclo[3.2.1]oct-2-ene0.0580.0130.00034
(–)-8-Methyl-3-(naphthalen-2-yl)-8-azabicylo[3.2.1]oct-2-ene0.0340.0180.00023
8-AZABICYCLO[3.2.1]OCT-2-ENE DERIVATIVES
Test Compound DA uptake IC50(μM) NE uptake IC50(μM) 5-HT uptake IC50(μM)
(±)-3-(3,4-Dichlorophenyl)-8-methyl-8-azabicyclo[3.2.1]oct-2-ene0.0790.0260.0047

U.S. Patent 2,001,047,028

Test Compound DA uptake IC50(μM) NE uptake IC50(μM) 5-HT uptake IC50(μM)
(±)-3-(4-cyanophenyl)-8-methyl-8-azabicyclo[3.2.1]oct-2-ene184.90.047
(±)-3-(4-nitrophenyl)-8-methyl-8-azabicyclo[3.2.1]oct-2-ene1.50.50.016
(±)-3-(4-trifluoromethoxyphenyl)-8-methyl-8-azabicyclo[3.2.1]oct-2-ene22.008.000.0036

Enantioselective nonstandard configurations (non-2β-,3β-)

β,α Stereochemistry

Structure Compound
(RTI #)

(S. Singh's #)
X2 Groupconfig8DAT IC50 (nM)
[3H]WIN 35428
5-HTT IC50 (nM)
[3H]paroxetine
NET IC50 (nM)
[3H]nisoxetine
selectivity
5-HTT/DAT
selectivity
NET/DAT
RTI-140
20a
HCO2Meβ,αNMe101 ± 165,701 ± 7212,076 ± 28556.420.6
RTI-352ɑ
20d
ICO2Meβ,αNMe2.86 ± 0.1664.9 ± 1.9752.4 ± 4.922.818.4
RTI-549BrCO2Meβ,αNMe
RTI-319b3α-2-naphthylCO2Meβ,αNMe1.1 ± 0.0911.4 ± 1.370.2 ± 6.28
RTI-286c
20b
FCO2Meβ,αNMe21 ± 0.575062 ± 4851231 ± 9124158.6
RTI-274dFCH2O(3′,4′-MD-phenyl)β,αNH3.965.6214.4
RTI-287EtCO2Meβ,αNMe327168717,819
20cClCO2Meβ,αNMe2.4 ± 0.2998 ± 12060.1 ± 2.441625.0
20eMeCO2Meβ,αNMe10.2 ± 0.084250 ± 422275 ± 2441727.0
BnCO2Meβ,αNMe
ɑU.S. Patent 6,358,492bU.S. Patent 7,011,813cU.S. Patent 7,011,813dU.S. Patent 7,291,737

α,β Stereochemistry

CA 2112084

CompoundDA (μM)M.E.D. (mg/kg)Dose (mg/kg)ActivityActivity
(2R,3S)-2-(4-chlorophenoxymethyl)-8-methyl-3-(3-chlorophenyl)-8-azabicyclo[3.2.1]octane0.39<15000
(2R,3S)-2-(carboxymethyl)-8-methyl-3-(2-naphthyl)-8-azabicyclo[3.2.1]octane0.112500
(2R,3S)-2-(carboxymethyl)-8-methyl-3-(3,4-dichlorophenyl)-8-azabicyclo[3.2.1]octane0.0160.2550++++

di-chloro; para- & meta- in tandem (α,β configured phenyltropanes)

U.S. Patent 2,001,047,028

CompoundX2 Groupconfig8DA5-HTNE
BrasofensineCl2methyl aldoximeα,βNMe
TesofensineCl2ethoxymethylα,βNMe65111.7
NS-2359 (GSK-372,475)Cl2Methoxymethylα,βNH

fumaric acid salts (of α,β configured phenyltropanes)

A1 WO 2004072075 A1

Test Compound DA uptake IC50(μM) NE uptake IC50(μM) 5-HT uptake IC50(μM)
(2R,3S)-2-(2,3-dichlorophenoxymethyl)-8-methyl-3-(3-chlorophenyl)-8-azabicyclo[3.2.1]octane fumaric acid salt0.0620.0350.00072
(2R,3S)-2-(Naphthaleneoxymethane)-8-methyl-3-(3-chlorophenyl)-8-azabicyclo[3.2.1]octane fumaric acid salt0.0620.150.0063
(2R,3S)-2-(2,3-dichlorophenoxymethyl)-8-H-3-(3-chlorophenyl)-8-azabicyclo[3.2.1]octane fumaric acid salt0.100.0480.0062
(2R,3S)-2-(Naphthlyloxymethane)-8-H-3-(3-chlorophenyl)-8-azabicyclo[3.2.1]octane fumaric acid salt0.0880.0510.013

Arene equivalent alterations

η6-3β-(transition metal complexed phenyl)tropanes

×–substitution image of both the chromium & ruthenium benzene pi-symmetry facilitating PTs.

21b can be prepared from ferrocenes and perrhenate by a double ligand transfer (DLT) reaction.[28]

Unlike metal complexed PTs created with the intention of making useful radioligands, 21a & 21b were produced seeing as their η6-coordinated moiety dramatically altered the electronic character and reactivity of the benzene ring, as well as such a change adding asymmetrical molecular volume to the otherwise planar arene ring unit of the molecule.[1] (cf. the Dewar–Chatt–Duncanson model). In addition the planar dimension of the transition metal stacked arene becomes delocalized (cf. Bloom and Wheeler.[29]).

21a was twice as potent as both cocaine and troparil in displacement of β-CFT, as well as displaying high & low affinity Ki values in the same manner as those two compounds. Whereas its inhibition of DA uptake showed it as comparably equipotent to cocaine & troparil. 21b by contrast had a one hundredfold decrease in high-affinity site binding compared to cocaine and a potency 10× less for inhibiting DA uptake. Attesting these as true examples relating useful effective applications for bioorganometallic chemistry.

Tricarbonyl-3β-chromium containing phenyltropane, having roughly twice the strength Ki affinity as parent compound at same mean affect.

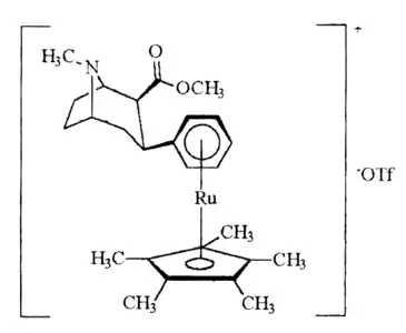
The discrepancy in binding for the two benzene metal chelates is assumed to be due to electrostatic differences rather than their respective size difference. The solid cone angles, measured by the steric parameter (i.e. θ) is θ=131° for Cr(CO)3 whereas Cp*Ru was θ=187° or only 30% larger. The tricarbonyl moiety being considered equivalent to the cyclopenta dienyl (Cp) ligand.[1]

Diagram indicating the triflate, in bracket, superimposed as a direct connection between the η6 benzene containing its transition metal fixed upon the η5-penta-methyl (five-methyls) cyclopenta-dienyl (five sided ring) alongside the benzene in three dimension.
Displacement of Receptor-Bound [3H]WIN 35428 and Inhibition of [3H]DA Uptake by Transition Metal Complexes of 3β-Phenyltropanes[1]
Structure Compound #
(S. Singh)
Systematic name
Ki (nM)ɑ IC50 (nM) selectivity
binding/uptake
21ac17 ± 15b
224 ± 83
41824.6
21bd2280 ± 18338901.7
Cocaine32 ± 5
388 ±221
40512.6
Troparil (11a)33 ± 17
314 ± 222
37311.3
  • ɑThe binding data fit a two-site model better than a one-site model
  • bThe Ki value for the one-site model was 124 ± 10 nM
  • cIUPAC: [η6-(2β-carbomethoxy-3β-phenyl)tropane]tricarbonylchromium
  • dIUPAC: [η5-(pentamethylcyclopentadienyl)]-[η6-(2β-carbomethoxy-3β-phenyl)tropane]ruthenium-(II) triflate

3-(2-thiophene) and 3-(2-furan)

CodeCompoundDA (μM)NE (μM)5-HT (μM)
1(2R,3S)-2-(2,3-Dichlorophenoxymethyl)-8-methyl-3-(2-thienyl)-8-aza-bicyclo[3.2.1]octanefumaric acid salt0.300.00190.00052
2(2R,3S)-2-(1-Naphthyloxymethyl)-8-methyl-3-(2-thienyl)-8-aza-bicyclo-[3.2.1]octane fumaric acid salt0.360.00360.00042
3(2R,3S)-2-(2,3-Dichlorophenoxymethyl)-8-methyl-3-(2-furanyl)-8-aza-bicyclo-[3.2.1]octane fumaric acid salt0.310.000900.00036
4(2R,3S)-2-(1-Naphthyloxymethyl)-8-methyl-3-(2-furanyl)-8-aza-bicyclo-[3.2.1]octane fumaric acid salt0.920.00300.00053
5(2R,3S)-2-(2,3-Dichlorophenoxymethyl)-8-H-3-(2-thienyl)-8-aza-bicyclo[3.2.1]octane fumaric acid salt0.0740.00180.00074
6(2R,3S)-2-(1-Naphthyloxymethyl)-8-H-3-(2-thienyl)-8-aza-bicyclo[3.2.1]octane fumaric acid salt0.190.00160.00054

Thiophenyltropanes

Diaryl

Fluoxetine homologue,[30] also: Hanna et al. (2007)[31]
cf. the paroxetine homologue PTs
ZIENT:[32]

6/7-tropane position substituted

2β-carbomethoxy 6/7 substituted

6/7-Substituted 2-carbomethoxy-phenyltropanes[1]
Structure Compound #
(S. Singh)
Substitution DAT (IC50 nM)
displacement of [H3]WIN 35428
5-HTT (IC50 nM)
[H3]Citalopram
Selectivity
5-HTT/DAT
CocaineH65 ± 12--
103a3β,2β, 7-OMe
3′,4′-Cl2
86 ± 4.7884 ± 10010.3
103b3β,2β, 7-OH
3′,4′-Cl2
1.42 ± 0.0328.6 ± 7.820.1
103c3α,2β, 7-OH
3′,4′-Cl2
1.19 ± 0.161390 ± 561168
104a3β,2β, 6-OH
4′-Me
215ɑ--
104b3β,2α, 6-OH
4′-Me
15310ɑ--
104c3α,2β, 6-OH
4′-Me
930ɑ--
104d3α,2α, 6-OH
4′-Me
7860ɑ--
  • ɑIC50 value for displacement of [H3]mazindol. IC50 for cocaine 288 nM for displacement of [H3]mazindol

3-butyl 6/7 substituted

6/7-Substituted 3-butyl-phenyltropanes[1]
Structure Compound #
(S. Singh)
Substituent Ki nM
displacement of [H3]mazindol binding
Ki nM
[H3]DA uptake
Selectivity
uptake/binding
CocaineH270 ± 0.03400 ± 201.5
121a7β-CN2020 ± 10710 ± 400.3
121b6β-CN3040 ± 4806030 ± 8802.0
121c7β-SO2Ph4010 ± 3108280 ± 13402.1
121d6β-SO2Ph4450 ± 4308270 ± 6901.8
121e7α-OH830 ± 40780 ± 600.9
121fH100 ± 1061 ± 100.6
121g7β-CN24000 ± 342032100 ± 85401.3
121h6β-CN11300 ± 154026600 ± 33302.3
121i7β-SO2Ph7690 ± 27707050 ± 4500.9
121j6β-SO2Ph4190 ± 7008590 ± 13602.0
121k7α-SO2Ph3420 ± 1100--
121l7β-SO2Ph, 7α-F840 ± 2602520 ± 2903.0
121m7α-F200 ± 10680 ± 103.4
121n7β-F500 ± 10550 ± 1401.1

intermediate 6- & 7-position synthesis modified phenyltropanes

6/7-synthetic intermediates[1]
Structure Compound #
(S. Singh)
Substituent W Substituent X Substituent Y Substituent Z
(±)-122aCNHHH
(±)-122bHHCHH
(±)-122cHCHHH
(±)-122dHHHCH
(±)-122eSO2PhHHH
(±)-122fHHSO2PhH
(±)-122gHSO2PhHH
(±)-122hSO2PhFHH
(±)-122iFSO2PhHH
(±)-122jHHSO2PhF

8-tropane (bridgehead) position modified

Nortropanes (N-demethylated)

NS2359 (GSK-372,475)

It is well established that electrostatic potential around the para position tends to improve MAT binding. This is believed to also be the case for the meta position, although it is less studied. N-demethylation dramatically potentiates NET and SERT affinity, but the effects of this on DAT binding are insignificant.[33] Of course, this is not always the case. For an interesting exception to this trend, see the Taxil document. There is ample evidence suggesting that N-demethylation of alkaloids occurs naturally in vivo via a biological enzyme. The fact that hydrolysis of the ester leads to inactive metabolites means that this is still the main mode of deactivation for analogues that have an easily metabolised 2-ester substituent. The attached table provides good illustration of the effect of this chemical transformation on MAT binding affinities. N.B. In the case of both nocaine and pethidine, N-demethyl compounds are more toxic and have a decreased seizure threshold.[34]

Selected ββ Nortropanes
Code
(S.S. #)
X
para
(unless position otherwise given inline)
DA 5HT NE
RTI-142
75b
F4.3968.618.8
RTI-98
75d
Norɑ-RTI-55
I0.690.3611.0
RTI-110
75c
Cl0.624.135.45
RTI-173
75f
Et49.98.13122
RTI-279
Norɑ-RTI-280
para-Me
meta-I
5.98 ± 0.481.06 ± 0.1074.3 ± 3.8
RTI-305
Norɑ-RTI-360/11y
Ethynyl1.24 ± 0.111.59 ± 0.221.8 ± 1.0
RTI-307
Norɑ-RTI-281/11z
Propynyl6.11 ± 0.673.16 ± 0.33115.6 ± 5.1
RTI-309
Norɑ-11t
Vinyl1.73 ± 0.052.25 ± 0.1714.9 ± 1.18
RTI-330
Norɑ-11s
Isopropyl310.2 ± 2115.1 ± 0.97
RTI-353para-Et
meta-I
330.54 ± 17.120.69 ± 0.07148.4 ± 9.15

ɑThe N-demethylated variant of (i.e. compound code-name after dash)

N-demethylating various β,β p-HC-phenyltropanes
N-Me compound code#

N-demethylated derivative
compound code #
para-X [3H]Paroxetine [3H]WIN 35,428 [3H]Nisoxetine
11 g75f Ethyl 28.4 → 8.13 55 → 49.9 4,029 → 122
11t75i Vinyl 9.5 → 2.25 1.24 → 1.73 78 → 14.9
11y75n Ethynyl 4.4 → 1.59 1.2 → 1.24 83.2 → 21.8
11r75 g 1-Propyl 70.4 → 26 68.5 → 212 3,920 → 532
11v75k trans-propenyl 11.4 → 1.3 5.29 → 28.6 1,590 → 54
11w75l cis-propenyl 7.09 → 1.15 15 → 31.6 2,800 → 147
11x75 m Allyl 28.4 → 6.2 32.8 → 56.5 2,480 → 89.7
11z75o 1-Propynyl 15.7 → 3.16 2.37 → 6.11 820 → 116
11s75h i-Propyl 191 → 15.1 597 → 310 75,000 → ?
11u75j 2-Propenyl 3.13 → 0.6 14.4 → 23 1,330? → 144
N-Demethylating phenyltropanes to find a NRI
Isomer 4′ 3′ NE DA 5HT
β,β Me H 60 → 7.2 1.7 → 0.84 240 → 135
β,β F H 835 → 18.8 15.7 → 4.4 760 → 68.6
β,β Cl H 37 → 5.45 1.12 → 0.62 45 → 4.13
β,α Me H 270 → 9 10.2 → 33.6 4250 → 500
β,α F H 1200 → 9.8 21 → 32.6 5060 → 92.4
β,α Cl H 60 → 5.41 2.4 → 3.1 998 → 53.3
β,α F Me 148 → 4.23 13.7 → 9.38 1161 → 69.8
β,α Me F 44.7 → 0.86 7.38 → 9 1150 → 97.4

"Interest in NET selective drugs continues as evidenced by the development of atomoxetine, manifaxine, and reboxetine as new NET selective compounds for treating ADHD and other CNS disorders such as depression" (FIC, et al. 2005).[35]

N-norphenyltropanes[1]
Structure Short Name
(S. Singh)
Para-X DAT
[3H]WIN 35428 IC50 (nM)
5-HTT
[3H]Paroxetine IC50 (nM)
NET
[3H]Nisoxetine IC50 (nM)
Selectivity
5-HTT/DAT
Selectivity
NET/DAT
NorcocaineH206 ± 29127 ± 13139 ± 90.60.7
75aH30.8 ± 2.3156 ± 884.5 ± 7.55.12.7
75bF4.39 ± 0.2068.6 ± 2.018.8 ± 0.715.64.3
75cCl0.62 ± 0.094.13 ± 0.625.45 ± 0.216.78.8
75dI0.69 ± 0.20.36 ± 0.057.54 ± 3.190.510.9
75epara-I
&
2β-CO2CH(CH3)2
1.06 ± 0.123.59 ± 0.27132 ± 53.4124
75fC2H549.9 ± 7.38.13 ± 0.30122 ± 120.22.4
75gn-C3H7212 ± 1726 ± 1.3532 ± 8.10.12.5
75hCH(CH3)2310 ± 2115.1 ± 0.97-0.05-
75iCH=CH21.73 ± 0.052.25 ± 0.1714.9 ± 1.181.38.6
75jC-CH3

CH2
23 ± 0.90.6 ± 0.06144 ± 120.036.3
75ktrans-CH=CHCH328.6 ± 3.11.3 ± 0.154 ± 160.041.9
75lcis-CH=CHCH331.6 ± 2.21.15 ± 0.1147 ± 4.30.044.6
75mCH2CH=CH256.5 ± 566.2 ± 0.389.7 ± 9.60.11.6
75nCH≡CH1.24 ± 0.111.59 ± 0.221.8 ± 1.01.317.6
75oCH≡CCH36.11 ± 0.673.16 ± 0.33116 ± 5.10.519.0
75pɑ3,4-Cl20.66 ± 0.241.4b-2.1-

ɑThese values determined in Cynomolgus monkey caudate-putamen bThe radioligand used for 5-HTT was [3H]citalopram

2β-Propanoyl-N-norphenyltropanes[1]
Compound Structure Short Name
(S. Singh)
DAT
[125I]RTI-55 IC50 (nM)
5-HTT
[3H]Paroxetine Ki (nM)
NET
[3H]Nisoxetine Ki (nM)
Selectivity
5-HTT/DAT
Selectivity
NET/DAT
79a0.07 ± 0.010.22 ± 0.162.0 ± 0.093.128.6
79b4.7 ± 0.5819 ± 1.45.5 ± 2.04.01.2
79c380 ± 1105.3 ± 1.03400 ± 2700.018.9
79d190 ± 17150 ± 505100 ± 2200.826.8
79e490 ± 12085 ± 164300 ± 11000.18.8
79f1.5 ± 1.10.32 ± 0.0610.9 ± 1.50.27.3
79g16 ± 4.90.11 ± 0.0294 ± 180.075.9

Paroxetine homologues

See the N-methyl paroxetine homologues cf. di-aryl phenyltropanes for another SSRI approximated hybrid: the fluoxetine based homologue of the phenyltropane class.

2-(3,4-(Methylenedioxy)phenoxy)methyl-norphenyltropane binding potencies[1]
Compound Structure Short Name
(S. Singh)
Stereochemistry DAT
[3H]WIN 35428 IC50 (nM)
5-HTT
[3H]Paroxetine IC50 (nM)
NET
[3H]Nisoxetine IC50 (nM)
Selectivity
5-HTT/DAT
Selectivity
NET/DAT
Paroxetine-623 ± 250.28 ± 0.02535 ± 150.00040.8
R-81a2β,3β835 ± 90480 ± 2137400 ± 14000.644.8
R-81b2α,3β142 ± 1390 ± 3.42500 ± 2500.617.6
R-81c2β,3α3.86 ± 0.25.62 ± 0.214.4 ± 1.31.43.7
S-81d2β,3β1210 ± 33424 ± 1517300 ± 18000.314.3
S-81e2α,3β27.6 ± 2.455.8 ± 5.731690 ± 1502.061.2
S-81f2β,3α407 ± 3319 ± 1.81990 ± 1760.054.9

N-replaced (S,O,C)

R-97a (above) & S-97b (below), both examples of interm. synth. prod. in the R/S-90 & 91 series of phenyltropanes; showing the decay of the benzene structure during the synthetic process preceding the creation of like-series of PTs.

The eight position nitrogen has been found to not be an exclusively necessary functional anchor for binding at the MAT for phenyltropanes and related compounds. Sulfurs, oxygens, and even the removal of any heteroatom, leaving only the carbon skeleton of the structure at the bridged position, still show distinct affinity for the monoamine transporter cocaine-target site and continue to form an ionic bond with a measurable degree of reasonable efficacy.

CompoundX2 Groupconfig8DA5-HTNE
TropoxaneCl,ClCO2Me(racemic) β,βO3.36.5No data
O-4210[36]p-F3-methyl-5-isoxazoleβ,βS7.0>1000No data
Mid-synth stage in similar compound preparation as like to above.

8-oxa bridgehead replacements

8-Oxanortropanes, binding inhibition using monkey caudate-putamen[1]
Structure Compound #
(S. Singh)
Para-
(meta-)
DAT (IC50 nM)
displacement of [H3]WIN 35428
5-HTT (IC50 nM)
[H3]Citalopram
Selectivity
5-HTT/DAT
R/S-90aH>1000>1000-
R/S-90bF54625804.7
R/S-90cCl1010710.7
R/S-90dBr22301.4
R/S-90eI7121.7
R/S-90f3,4-Cl23.356.521.9
R-90g3,4-Cl23.274.671.4
S-90h3,4-Cl247581.2
R/S-91aH1990114405.7
R/S-91bF>1000>10000-
R/S-91cCl28.581628.6
R/S-91dBr927630.7
R/S-91eI42721.7
R/S-91f3,4-Cl23.0864.520.9
R-91g3,4-Cl22.343113.2
S-91h3,4-Cl256286051.1

8-carba bridgehead replacements

8-carba 3-Aryl bicyclo[3.2.1]octanes[1]
Structure Compound #
(S. Singh)
DAT (IC50 nM)
displacement of [H3]WIN 35428
5-HTT (IC50 nM)
[H3]Citalopram
Selectivity
5-HTT/DAT
R/S-98a7.1 ± 1.75160 ± 580726
R/S-98b9.6 ± 1.833.4 ± 0.63.5
R/S-98c14.3 ± 1.1180 ± 6512.6

N-alkyl

CompoundX2 Groupconfig8DATSERTNET
FP-β-CPPITCl3′-phenylisoxazol-5′-ylβ,βNCH2CH2CH2F---
FE-β-CPPITCl(3′-phenylisoxazol-5′-yl)β,βNCH2CH2F---
Altropane (IACFT)FCO2Meβ,βNCH2CH=CHF---
FECNT[37]ICO2Meβ,βNCH2CH2F---
RTI-310 U.S. Patent 5,736,123ICO2Meβ,βN-Prn1.17--
RTI-311ICO2Meβ,βNCH2CH=CH21.79--
RTI-312 U.S. Patent 5,736,123ICO2Meβ,βNBun0.76--
RTI-313 U.S. Patent 5,736,123ICO2Meβ,βNCH2CH2CH2F1.67--
Ioflupane (FP-CIT)¹²³ICO2Meβ,βNCH2CH2CH2F---
PE2I[37]MeCO2Meβ,βNCH2CH=CHI---
RTI-251ClCO2Meβ,βNCH2CO2Et1.9310.1114
RTI-252ClCO2Meβ,βNCH2CH2CO2Et2.5635.2125
RTI-242Clβ,β (bridged) -C(O)CH(CO2Me)CH2N7.67227510

Bi- and tri-cyclic aza compounds and their uses U.S. Patent 6,150,376 WO 0007994

N-substituted 3β-phenylnortropanes[1]
(including N-phthalimidoalkyl analogues of β-CIT)
Structure Short Name
(S. Singh)
Nitrogen side-chain
(N8)
DAT
[3H]GBR 12935 Ki (nM)
5-HTT
[3H]Paroxetine Ki (nM)
NET
[3H]Nisoxetine Ki (nM)
Selectivity
5-HTT/DAT
Selectivity
NET/DAT
CocaineH350 ± 80>10000>30000>28.6-
GBR 12909-0.06 ± 0.0252.8 ± 4.4>20000880-
WIN 35428
11b
H14.7 ± 2.9181 ± 21635 ± 11012.343.2
RTI-55
11e
H1.40 ± 0.200.46 ± 0.062.80 ± 0.400.32
82aCH2CH=CH222.6 ± 2.9ɑ----
82bCH2CH2CH343.0 ± 17.7ɑ----
82cCH2C6H558.9 ± 1.65b1073c-18.2-
82d(CH2)3C6H51.4 ± 0.2b133 ± 7c-95.0-
82e(CH2)5C6H53.4 ± 0.83b49.9 ± 10.2c-14.7-
83aCH2CH2CH2F1.20 ± 0.2948.7 ± 8.41000040.68333
83bCH2CH2F4.40 ± 0.3521.7 ± 8.3>100004.9-
84aCH2CH2CH2F3.50 ± 0.390.110 ± 0.0263.0 ± 4.00.0318
84bCH2CH2F4.00 ± 0.730.140 ± 0.0293.0 ± 17.00.0323.2
84cCH2CHF215.1 ± 3.79.6 ± 1.5>50000.6-
84dCH2CH2CH2Cl3.10 ± 0.570.32 ± 0.0696.0 ± 29.00.131.0
84eCH2CH2CH2Br2.56 ± 0.570.35 ± 0.08164 ± 470.164.1
84fCH2CH2CH2I38.9 ± 6.38.84 ± 0.5350000.2128
84gCH2...methylcyclopropane4.30 ± 0.871.30 ± 0.25198 ± 9.60.346.0
84hCH2CH2CH2OH5.39 ± 0.212.50 ± 0.20217 ± 190.540.2
84iCH2CH2(OCH3)26.80 ± 1.101.69 ± 0.09110 ± 7.70.216.2
84jCH2CO2CH311.9 ± 1.40.81 ± 0.1029.1 ± 1.00.072.4
84kCH2CON(CH3)212.2 ± 3.86.40 ± 1.70522 ± 1450.542.8
84lCH2CH2CH2OMs36.3 ± 2.117.3 ± 1.250000.5138
84mCOCH(CH3)22100 ± 140102 ± 23>100000.05-
84n(CH2)2Pht4.23 ± 0.480.84 ± 0.02441 ± 66.00.2104
84o(CH2)3Pht9.10 ± 1.100.59 ± 0.0774.0 ± 11.60.068.1
84p(CH2)4Pht2.38 ± 0.220.21 ± 0.02190 ± 18.00.0979.8
84q(CH2)5Pht2.40 ± 0.170.34 ± 0.0360.0 ± 3.100.125.0
84r(CH2)8Pht2.98 ± 0.300.20 ± 0.0275.0 ± 3.60.0725.2
84sdCH2CH=CH-CH315 ± 175 ± 5400 ± 805.026.7
84tdCH2C(Br)=CH230 ± 5200 ± 40>10006.7-
84udCH2CH=CH2I(E)30 ± 5960 ± 60295 ± 3332.09.8
84vdCH2C≡CH14 ± 1100 ± 30>10007.1-
84wdCH2C6H542 ± 12100 ± 17600 ± 1002.414.3
84xdCH2C6H4-2-CH393 ± 19225 ± 40>10002.4-
85adpara-H113 ± 41100 ± 20>10000.9-
85bdpara-Cl, meta-Cl29 ± 450 ± 6500 ± 1201.717.2
85cdpara-Me17 ± 7500 ± 30>100029.4-
85ddpara-CH(CH3)2500 ± 120450 ± 80>10000.9-
85edpara-n-C3H7500 ± 100300 ± 12750 ± 1600.61.5
  • ɑIC50 for displacement of [3H]cocaine. IC50 for cocaine = 67.8 ± 8.7 (nM)
  • bIC50 values for displacement of [3H]WIN 35428
  • cIC50 values for displacement of [3H]citalopram
  • dThe standard Ki value for the displacement of [3H]GBR 12935, [3H]paroxetine, and [3H]nisoxetine were 27 ± 2, 3 ± 0.2, and 80 ± 28 nM, respectively, for these experiments
3β-(4-alkylthiophenyl)nortropanes[12]
Structure Compound R1 R2 Inhibition of [3H]WIN 35,428
@ DAT
IC50 (nM)
Inhibition of [3H]Paroxetine
@ 5-HTT
Ki (nM)
Inhibition of [3H]Nisoxetine
@ NET
Ki (nM)
NET/DAT
(uptake ratio)
NET/5-HTT
(uptake ratio)
See 7a—7h table
7aCH3CH39 ± 30.7 ± 0.2220 ± 1024314
7bC2H5CH3232 ± 344.5 ± 0.51170 ± 3005260
8aCH3H28 ± 60.19 ± 0.0121 ± 60.8110
8bC2H5H177 ± 621.26 ± 0.05118 ± 130.794
9aCH3FCH2CH2CH2112 ± 23 ± 1960 ± 1009320
9bC2H5FCH2CH2CH21,200 ± 20027 ± 2>2,000274
10aCH3CH2=CH2CH271 ± 255.5 ± 0.82,000 ± 50028364
10bC2H5CH2=CH2CH21,100 ± 10047 ± 3>2,000243
11aCH3CH3CH2CH274 ± 205.7 ± 0.61,200 ± 14016211
11bC2H5CH3CH2CH2900 ± 30049 ± 6>2,000241

Bridged N-constrained phenyltropanes (fused/tethered)

See: Bridged cocaine derivatives & N8 Tricyclic (2β—crossed-over) N8—to—3β replaced aryl linked (expansive front-bridged) cocaine analogues

p-methyl aryl front & back N-bridged phenyltropanes

U.S. Patent 6,150,376

Structures mentioned in US6150376 table of Ki data.
Alternate 2D rendering of compound "42a" (from among the above 'bridged' phenyltropanes) to elucidate the potential overlaying structure of the place inhabited by the constrained nitrogen. Compare JNJ-7925476, tametraline and similar compounds.
RTI-242
Activity at monoamine transporters: Binding Affinities & MAT Inhibition of Bridged Phenyltropanes Ki (nM)
Compound #
(S. Singh's #)
2β=R [3H]Mazindol binding [3H]DA uptake [3H]5-HT uptake [3H]NE uptake selectivity
[3H]5-HT/[3H]DA
cocaineCO2CH3375 ± 68423 ± 147155 ± 4083.3 ± 1.50.4
(–)-40
(–)-128
54.3 ± 10.260.3 ± 0.41.76 ± 0.235.24 ± 0.070.03
(+)-40
(+)-128
79 ± 19114 ± 281.48 ± 0.074.62 ± 0.310.01
(±)-40
(±)-128
61.7 ± 8.560.3 ± 0.42.32 ± 0.232.69 ± 0.120.04
29β62014208030
30β18649297.7
31β47.021128.5
29α4140201003920
30α396088506961150
45
129
6.86 ± 0.4324.0 ± 1.31.77 ± 0.041.06 ± 0.030.07
42a
131a
n-Bu4.00 ± 0.072.23 ± 0.1214.0 ± 0.62.99 ± 0.176.3
41a
130a
n-Bu17.2 ± 1.1310.2 ± 1.478.9 ± 0.915.0 ± 0.47.8
42b
131b
Et3.61 ± 0.4311.3 ± 1.125.7 ± 4.34.43 ± 0.012.3
50a
133a
n-Bu149 ± 6149 ± 2810 ± 8051.7 ± 125.4
49a
132a
n-Bu13.7 ± 0.814.2 ± 0.1618 ± 873.84 ± 0.3543.5
(–)-41050016500189070900
(+)-41850027600463038300
(–)-597409050119004650
(+)-5677010500251004530
RTI-4229/Coc-242N8/2β-C(O)CH(CO2Me)CH2N
para-chloro
7.67 ± 0.31ɑ226.54 ± 27.37b510.1 ± 51.4c
  • ɑValue for displacement of [3H]WIN 35,428 binding @ DAT
  • bValue for displacement of [3H]paroxetine binding to SERT
  • cValue for displacement of [3H]nisoxetine from NET

Fused tropane-derivatives as neurotransmitter reuptake inhibitors. Singh notes that all bridged derivatives tested displayed 2.5—104 fold higher DAT affinity than cocaine. The ones 2.8—190 fold more potent at DAT also had increased potency at the other two MAT sites (NET & SERT); NET having 1.6—78× increased activity. (+)-128 additionally exhibited 100× greater potency @ SERT, whereas 132a & 133a had 4—5.2× weaker 5-HTT (i.e. SERT) activity. Front-bridged (e.g. 128 & 129) had a better 5-HT/DA reuptake ratio in favor of SERT, while the back-bridged (e.g. 130—133) preferred placement with DAT interaction.[1] U.S. Patent 5,998,405

3,4-Cl2 aryl front-bridged phenyltropanes

Fused Tropane: NeuroSearch A/S, Scheel-Krüger et al. U.S. Patent 5,998,405
Frontbridged phenyltropane synthesis intermediate product compound #140
CodeCompoundDA (μM)NE (μM)5-HT (μM)
1(1 S,2S,4S,7R)-2-(3,4-Dichloro- phenyl)-8-azatricyclo[5.4.0.04,8]- undecan-11 -one O-methyl-oxime0.0120.00200.0033
2(1 S,2S,4S,7R)-2-(3,4-Dichloro- phenyl)-8-azatricyclo[5.4.0.04,8]- undecan-11-one0.180.0350.0075
3(1 S,3S,4S,8R)-3-(3,4-Dichloro-phenyl)-7-azatricyclo[5.3.0.04,8]- decan-5-one O-methyl-oxime0.01600.00090.0032
4(1 S,2S,4S,7R)-2-(3,4-Dichloro-phenyl)-8-azatricyclo[5.4.0.04,8]- undecan-11-ol0.07500.00410.0028
5(1 S,3S,4S,8R)-3-(3,4-Dichloro-phenyl)-7-azatricyclo[5.3.0.04,8]- decan-5-one0.120.00520.0026
6(1 S,3S,4S,8R)-3-(3,4-Dichloro- phenyl)-7-azatricyclo[5.3.0.04,8]-decan-5-ol0.250.00740.0018
7(1S,3S,4S,8R)-3- (3,4-Dichloro- phenyl)-7-azatricyclo[5.3.0.04,8]dec- 5-yl acetate0.210.00610.0075
8(1S,3S,4S,8R)-3-(3,4-Dichlorophenyl)-5-methoxy-7- azatricyclo[5.3.0.04,8]decane0.0220.00140.0001
  1. 1-Chloroethyl chloroformate is used to remove N-methyl of trans-aryltropanes.
  2. 2° amine is reacted with Br(CH2)nCO2Et.
  3. Base used to abstract proton α- to CO2Et group and complete the tricyclic ring closure step (Dieckmann cyclization).

To make a different type of analog (see Kozikowski patent above)

  1. Remove N-Me
  2. Add ɣ-bromo-chloropropane
  3. Allow for cyclization with K2CO3 base and KI cat.

C2 + C3 (side-chain) fused (carboxylate & benzene conjoined)

Nitrogen-front-bridged indole phenyltropane.[3]


(1R,2S,10R,12S)-15-methyl-15-azatetracyclo(10.2.1.0²,¹⁰.0⁴,⁹)pentadeca-4(9),5,7-trien-3-one[3]

C3 to 1′ + 2′ (ortho) tropane locant dual arene bridged


Parent compound of a series of spirocyclic cocaine benzoyl linkage modification analogs created by Suzuki coupling method of ortho-substituted arylboronic acids and an enol-triflate derived from cocaine; which technically has the three methylene length of cocaine analogues as well as the single length which defines the phenyltropane series. Note that the carbomethoxyl group is (due to constraints in synthetic processes used in the creation of this compound) alpha configured; which is not the usual, most prevalent, conformation favored for the PT cocaine-receptor binding pocket of most such sub-type of chemicals. The above and below depictions show attested compounds synthesized, additionally with variations upon the Endo–exo isomerism of their structures.[38]

Cycloalkane-ring alterations of the tropane ring system

Azanonane (outer ring extended)

3-Phenyl-9-azabicyclo[3.3.1]nonane derivatives

To better elucidate the binding requirements at MAT, the methylene unit on the tropane was extended by one to create the azanonane analogs.[lower-alpha 9] Which are the beginning of classes of modifications that start to become effected by the concerns & influences of macrocyclic stereocontrol.

Despite the loosened flexibility of the ring system, nitrogen constrained variants (such as were created to make the bridged class of phenyltropanes) which might better fit the rigid placement necessary to suit the spatial requirements needed in the binding pocket were not synthesized. Though front-bridged types were synthesized for the piperidine homologues: the trend of equal values for either isomers of that type followed the opposing trend of a smaller and lessened plasticity of the molecule to contend with a rationale for further constraining the pharmacophore within that scope. Instead such findings lend credence to the potential for the efficacy of fusing the nitrogen on an enlarged tropane, as like upon the compounds given below.

[3.3.1]azanonane analogues
displacement of bound [3H]WIN 35428[1]
Structure Compound #
(S. Singh)
Ki (nM)
Cocaine32 ± 5
390 ± 220
WIN 35065-233 ± 17
310 ± 220
146a4600 ± 510
146b5730 ± 570
146c3450 ± 310
146d3470 ± 350
14713900 ± 2010

Azabornane (outer ring contracted)

3-Phenyl-7-azabicyclo[2.2.1]heptane derivatives

Ring-contracted analogs of phenyltropanes did not permit sufficient penetration of the phenyl into the target binding site on MAT for an affinity in the efficacious range. The distance from the nitrogen to the phenyl centroid for 155a was 4.2 and 155c was 5.0 Å, respectively. (Whereas troparil was 5.6 & compound 20a 5.5 angstroms). However piperidine homologues (discussed below) had comparable potencies.[lower-alpha 10]

2-exo-phenyl-7-azabicyclo[2.2.1]heptane:

The non-carboxylic (and DAT substrate, releasing agent) variant of exo-2-phenyl-7-azabicyclo(2.2.1)heptane-1-carboxylic acid (N.B. the carboxy in the latter shares the C1 tropane position with the two carbon nitrogen containing bridge; sharing in the leftmost (R) substitution of the above depiction & unlike the placement on the tropane for either the carbmethoxy or phenyl ring of the azabornane analogues given in this section)

With the carboxy ester function removed the resultant derived compound acts as a DAT substrate drug, thus an amphetaminergic releaser of MAT & VMAT, yet similar to phenyltropanes (that usually are only re-uptake ligands)
[39] cf. EXP-561 & BTQ.

Azabornanes with longer substitutions at the 3β-position (benzoyloxys alkylphenyls, carbamoyls etc.) or with the nitrogen in the position it would be on the piperidine homologues (i.e. arrangements of differing locations for the nitrogens being either distal or proximal within the terms required to facilitate the framework of the compound to a correlative proportion, functional for the given moiety), were not synthesized, despite conclusions that the nitrogen to phenyl length was the issue at variance enough to be the interfering factor for the proper binding of the compressed topology of the azabornane. Carroll, however, has listed benzoyloxy azabornanes in patents.[3]

[2.2.1]azabornane analogues
displacement of bound [3H]WIN 35428[1]
Structure Compound #
(S. Singh)
Ki (nM)
Cocaine32 ± 5
390 ± 220
WIN 35065-233 ± 17
310 ± 220
155a60,400 ± 4,800
155b96,500 ± 42
155c5,620 ± 390
155d18,900 ± 1,700

Piperidine homologues (inner two-carbon bridge excised)

Piperidine homologues had comparable affinity & potency spreads to their respective phenyltropane analogues. Without as much of a discrepancy between the differing isomers of the piperidine class with respect to affinity and binding values as had in the phenyltropanes.

Phenyltropane 4-aryl-3-carboalkoxy-piperidine analogues[1]
Structure Compound #
(S. Singh)
X = para- / 4′-
Substitution
R = 2-tropane position DAT (IC50 nM)
[H3]WIN 35428 binding displacement
DA (IC50 nM)
[H3]DA uptake
Selectivity
Uptake/Binding
CocaineHCO2Me102 ± 9239 ± 12.3
(±)-166aClβ-CO2CH353.7 ± 1.937.8 ± 7.90.7
(-)-166aClβ-CO2CH324.8 ± 1.685.2 ± 2.63.4
(+)-166aClβ-CO2CH31360 ± 1255090 ± 1723.7
(-)-167aClβ-CO2OH75.3 ± 6.249.0 ± 3.00.6
(+)-167aClβ-CO2OH442 ± 32
(-)-168aClβ-CO2OAc44.7 ± 10.562.9 ± 2.71.4
(+)-168aClβ-CO2OAc928 ± 432023 ± 822.2
(-)-169a[40]Clβ-n-Pr3.0 ± 0.58.3 ± 0.62.8
(-)-170aHβ-CO2CH3769 ± 19
(±)-166bClα-CO2CH3197 ± 8
(+)-166bClα-CO2CH357.3 ± 8.134.6 ± 3.20.6
(-)-166bClα-CO2CH3653 ± 38195 ± 80.3
(+)-167bClα-CO2OH240 ± 18683 ± 472.8
(+)-168bClα-CO2OAc461 ± 11
(+)-169bClα-n-Pr17.2 ± 0.523.2 ± 2.21.3

Heterocyclic N-Desmethyl[41]

Activity @ MAT for piperidine homologues of phenyltropanes, including naphthyl derivatives[42]
Structure Compound # [H3]DA uptake (nM)
IC50
[H3]DA uptake (nM)
Ki
[H3]NE uptake (nM)
IC50
[H3]NE uptake (nM)
Ki
[H3]5-HTT uptake (nM)
IC50
[H3]5-HTT uptake (nM)
Ki
Uptake Ratio
DA/5-HT (Ki)
Uptake Ratio
NE/5-HT (Ki)
Cocaine459 ± 159423 ± 147127 ± 4.1108 ± 3.5168 ± 0.4155 ± 0.42.70.69
Fluoxetine>4500>2500193 ± 4.1176 ± 3.58.1 ± 0.77.3 ± 0.762424
2075 ± 9.169 ± 8.1101 ± 3.388 ± 2.9440 ± 30391 ± 270.180.23
623 ± 1.021 ± 0.9-34 ± 0.88.2 ± 0.37.6 ± 0.22.84.5
7>1000947 ± 135-241 ± 1.78.2 ± 0.37.6 ± 0.222.65.7
894 ± 9.687 ± 8.9-27 ± 1.6209 ± 17192 ± 160.450.14
9293 ± 6.4271 ± 5.9-38 ± 4.013 ± 0.712 ± 0.7233.2
1997 ± 8.690 ± 8.034 ± 2.530 ± 2.33.9 ± 0.53.5 ± 0.5268.6
10326 ± 1.2304 ± 1.1337 ± 37281 ± 30113 ± 4.3101 ± 3.83.02.8
14144 ± 20131 ± 18204 ± 5.6175 ± 4.8155 ± 3.9138 ± 3.50.951.3
15>1800>1700>1300>1100275 ± 39255 ± 37>6>4
16>1000964 ± 100>1200>1000334 ± 48309 ± 443.13.5
17213 ± 30187 ± 26399 ± 12364 ± 9.2189 ± 37175 ± 341.12.1
18184 ± 30173 ± 26239 ± 42203 ± 3667 ± 4.562 ± 4.12.83.3

distal-nitrogen 'dimethylamine' (piperidine-like cyclohexyl homologues of phenyltropanes)[3]


cf. Fencamfamine

Radiolabeled

Radiolabel Tropane:[43] Page 64. G.A. Whitlock et al. Table 1 Potential SRI PET and SPECT ligands.
LBT-999, a radio-ligand.
CodeSERT Ki (nM)NET Ki (nM)DAT Ki (nM)RadiolabelIn vivo studyRefs.
10.2102.229.911CNon-human primate[44]
20.231.732.611CNon-human primate[45]
30.05243.47123IRat[46]
40.08281318FNon-human primate[47]
50.114502211CRat, monkey[48]
IPT (N-3-iodoprop-(2E)-ene-2β-carbomethoxy-3β-(4′-chlorophenyl)tropane), can be radiolabeled with 123I or 125I and used as a ligand to map several MATs
N-4-Fluorobut-2-yn-1-yl-2β-carbomethoxy-3β-phenyltropane (PR04.MZ) often radiolabeled.[49][50]
JHC1-64.[51] A fluorescent analog, similar in its long chain off of the nitrogen bridge similar to the transition metal phenyltropane types.

Transition metal complexes

These compounds include transition metals in their heteroatomic conformation, unlike non-radiolabel intended chelates where their element is chosen for intrinsic affectation to binding and function, these are tagged on by a "tail" (or similar) with a sufficient spacer to remain separated from known binding properties and instead are meant to add radioactivity enough to be easily tracked via observation methods that utilize radioactivity. As for anomalies of binding within the spectrum of the under-written kinds just mentioned: other factors not otherwise considered to account for its relatively lower potency, "compound 89c" is posited to protrude forward at the aryl place on its moiety toward the MAT ligand acceptor site in a manner detrimental to its efficacy. That is considered due to the steric bulk of the eight-position "tail" chelate substituted constituent, overreaching the means by which it was intended to be isolated from binding factors upon a tail, and ultimately nonetheless, interfering with its ability to bind. However, to broach this discrepancy, decreasing of the nitrogen tether at the eight position by a single methylene unit (89d) was shown to bring the potency of the analogous compound to the expected, substantially higher, potency: The N-methyl analog of 89c having an IC50 of 1.09 ± 0.02 @ DAT & 2.47 ± 0.14 nM @ SERT; making 89c upwards of thirty-three times weaker at those MAT uptake sites.[lower-alpha 11]

"Transition metal" chelated phenyltropanes[1]
Structure Compound #
(S. Singh)
X = para- / 4′-
Substitution
Configuration DAT (IC50 nM)
displacement of [H3]WIN 35428
5-HTT (IC50 nM)
[H3]Citalopram
Selectivity
5-HTT/DAT
WIN 35428F-11.0 ± 1.0160 ± 2014.5
+2β-chelated phenyltropanes
73
TRODAT-1ɑ
Cl-R=13.9, S=8.42b--
74
TROTEC-1
F-high affinity site = 0.15 ± 0.04c
low affinity site = 20.3 ± 16.1c
--
N-chelated phenyltropanes
89aF5.99 ± 0.81124 ± 1720.7
89bF2960 ± 1575020 ± 18801.7
89c3,4-Cl237.2 ± 3.4264 ± 167.1
89dCl-0.31 ± 0.03d--
  • ɑIUPAC: [2-[[2-[[[3-(4-chlorophenyl)-7-methyl-8-azabicyclo[3,2,1]oct-2-yl]methyl]-(2-mercaptoethyl)amino]ethyl]amino]ethanethiolato-(3—)-N2, N2′, S2, S2′]oxo-[1''R''-(''exo'', ''exo'')]-[99mTc]technetium
  • bR- & S- isomer values are Ki (nM) for displacement of [125I]IPT with technetium-99m replaced by rhenium
  • cIC50 (nM) values for displacement of [3H]WIN 35428 with ligand tricarbonyltechnetium replaced with rhenium. (IC50 for WIN 35428 were 2.62 ± 1.06 @ high affinity binding & 139 ± 72 @ low affinity binding sites)
  • dKi value for displacement of [125I]IPT radioligand.

Select annotations of above

Phenyltropanes can be grouped by "N substitution" "Stereochemistry" "2-substitution" & by the nature of the 3-phenyl group substituent X.
Often this has dramatic effects on selectivity, potency, and duration, also toxicity, since phenyltropanes are highly versatile. For more examples of interesting phenyltropanes, see some of the more recent patents, e.g. U.S. Patent 6,329,520, U.S. Patent 7,011,813, U.S. Patent 6,531,483, and U.S. Patent 7,291,737.

Potency in vitro should not be confused with the actual dosage, as pharmacokinetic factors can have a dramatic influence on what proportion of an administered dose actually gets to the target binding sites in the brain, and so a drug that is very potent at binding to the target may nevertheless have only moderate potency in vivo. For example, RTI-336 requires a higher dosage than cocaine. Accordingly, the active dosage of RTI-386 is exceedingly poor despite the relatively high ex vivo DAT binding affinity.

Sister substances

Many molecular drug structures have exceedingly similar pharmarcology to phenyltropanes, yet by certain technicalities do not fit the phenyltropane moniker. These are namely classes of dopaminergic cocaine analogues that are in the piperidine class (a category that includes methylphenidate) or benztropine class (such as Difluoropine: which is extremely close to fitting the criteria of being a phenyltropane.) Whereas other potent DRIs are far removed from being in the phenyltropane structural family, such as Benocyclidine or Vanoxerine.

See: List of cocaine analogues

Most any variant with a tropane locant—3-β (or α) connecting linkage differing from, e.g. longer than, a single methylene unit (i.e. "phenyl"), including alkylphenyls (see the styrene analog, first image given in example below) is more correctly a "cocaine analogue" proper, and not a phenyltropane. Especially if this linkage imparts a sodium channel blocker functionality to the molecule:

See also

References

Citations

  1. Singh, Satendra (2000). "Chem Inform Abstract: Chemistry, Design, and Structure-Activity Relationship of Cocaine Antagonists" (PDF). ChemInform. 31 (20): no. doi:10.1002/chin.200020238. Mirror hotlink.
  2. U.S. Patent Application Publication # US 2008/0153870 A1 M. J. Kuhar, et al. Jun. 26, 2008. Research Triangle Institute.
  3. U.S. Patent 6,479,509
  4. Tamagnan, Gilles (2005). "Synthesis and monoamine transporter affinity of new 2β-carbomethoxy-3β-[4-(substituted thiophenyl)]phenyltropanes: discovery of a selective SERT antagonist with picomolar potency". Bioorganic & Medicinal Chemistry. 15 (4): 1131–1133. doi:10.1016/j.bmcl.2004.12.014. PMID 15686927.
  5. Schmitt, K. C.; Rothman, R. B.; Reith, M. E. (Jul 2013). "Nonclassical Pharmacology of the Dopamine Transporter: Atypical Inhibitors, Allosteric Modulators, and Partial Substrates". J Pharmacol Exp Ther. 346 (1): 2–10 Fig. 1. doi:10.1124/jpet.111.191056. PMC 3684841. PMID 23568856.
  6. U.S. Patent 6,479,509 Method of promoting smoking cessation.
  7. Blough, B. E.; Keverline, K. I.; Nie, Z.; Navarro, H.; Kuhar, M. J.; Carroll, F. I. (2002). "Synthesis and transporter binding properties of 3β-4′-(phenylalkyl, -phenylalkenyl, and -phenylalkynyl)phenyltropane-2β-carboxylic acid methyl esters: evidence of a remote phenyl binding domain on the dopamine transporter". Journal of Medicinal Chemistry. 45 (18): 4029–4037. doi:10.1021/jm020098n. PMID 12190324.
  8. Blough, Bruce E.; Keverline, Kathryn I.; Nie, Zhe; Navarro, Hernán; Kuhar, Michael J.; Carroll, F. Ivy (2002). "Synthesis and Transporter Binding Properties of 3β-[4'-(Phenylalkyl, -phenylalkenyl, and -phenylalkynl)phenyl]tropane-2β-carboxylic Acid Methyl Esters: Evidence of a Remote Phenyl Binding Domain on the Dopamine Transporter". Journal of Medicinal Chemistry. 45 (18): 4029–37. doi:10.1021/jm020098n. PMID 12190324.
  9. Blough; et al. (Sep 1996). "Synthesis and transporter binding properties of 3β-(4'-alkyl-, 4'-alkenyl-, and 4'-alkynylphenyl)nortropane-2 β-carboxylic acid methyl esters: serotonin transporter selective analogs". J Med Chem. 39 (20): 4027–35. doi:10.1021/jm960409s. PMID 8831768.
  10. Meltzer, P. C.; Liang, A. Y.; Brownell, A. L.; Elmaleh, D. R.; Madras, B. K. (1993). "Substituted 3-phenyltropane analogs of cocaine: Synthesis, inhibition of binding at cocaine recognition sites, and positron emission tomography imaging". Journal of Medicinal Chemistry. 36 (7): 855–62. doi:10.1021/jm00059a010. PMID 8464040.
  11. Meltzer, P. C.; McPhee, M.; Madras, B. K. (2003). "Synthesis and biological activity of 2-Carbomethoxy-3-catechol-8-azabicyclo[3.2.1]octanes". Bioorganic & Medicinal Chemistry Letters. 13 (22): 4133–4137. doi:10.1016/j.bmcl.2003.07.014. PMID 14592523.
  12. Jin, Chunyang; Navarro, Hernán A.; Ivy Carroll, F. (2009). "Synthesis and structure–activity relationship of 3β-(4-alkylthio, -methylsulfinyl, and -methylsulfonylphenyl)tropane and 3β-(4-alkylthiophenyl)nortropane derivatives for monoamine transporters". Bioorganic & Medicinal Chemistry. 17 (14): 5126–5132. doi:10.1016/j.bmc.2009.05.052. ISSN 0968-0896. PMC 2747657. PMID 19523837.
  13. R. H. Kline, Davies, E. Saikali, T. Sexton & S.R. Childers (1993). "Novel 2-substituted cocaine analogs: Binding properties at dopamine transport sites in rat striatum". European Journal of Pharmacology. 244 (1): 93–97. doi:10.1016/0922-4106(93)90063-f. PMID 8420793.CS1 maint: multiple names: authors list (link)
  14. Jin, C; Navarro, H. A.; Carroll, F. I. (2008). "Development of 3-Phenyltropane Analogs with High Affinity for the Dopamine and Serotonin Transporters and Low Affinity for the Norepinephrine Transporter". Journal of Medicinal Chemistry. 51 (24): 8048–8056. doi:10.1021/jm801162z. PMC 2841478. PMID 19053748. Table 1.
  15. Jin, C; Navarro, H. A.; Carroll, F. I. (2008). "Development of 3-Phenyltropane Analogs with High Affinity for the Dopamine and Serotonin Transporters and Low Affinity for the Norepinephrine Transporter". Journal of Medicinal Chemistry. 51 (24): 8048–8056. doi:10.1021/jm801162z. PMC 2841478. PMID 19053748. Table 2.
  16. Zhong, Desong; Kotian, Pravin; Wyrick, Christopher D.; Seltzman, Herbert H.; Kepler, John A.; Kuhar, Michael J.; Boja, John W.; Carroll, F. Ivy (1999). "Synthesis of 3β-(4-[125I]iodophenyl)tropane-2-β-pyrrolidine carboxamide ([125I]RTI-229)". Journal of Labelled Compounds and Radiopharmaceuticals. 42 (3): 281–286. doi:10.1002/(SICI)1099-1344(199903)42:3<281::AID-JLCR188>3.0.CO;2-X.
  17. Carroll, F. I.; Gray; Abraham; Kuzemko; Lewin; Boja; Kuhar (1993). "3-Aryl-2-(3′-substituted-1′,2′,4'-oxadiazol-5′-yl)tropane analogues of cocaine: affinities at the cocaine binding site at the dopamine, serotonin, and norepinephrine transporters". Journal of Medicinal Chemistry. 36 (20): 2886–2890. doi:10.1021/jm00072a007. PMID 8411004.
  18. Methods for controlling invertebrate pests using cocaine receptor binding ligands. U.S. Patent 5,935,953
  19. Carroll, F.; Howard, J.; Howell, L.; Fox, B.; Kuhar, M. (2006). "Development of the dopamine transporter selective RTI-336 as a pharmacotherapy for cocaine abuse". The AAPS Journal. 8 (1): E196–E203. doi:10.1208/aapsj080124. PMC 2751440. PMID 16584128.
  20. Carroll, F.; Howard, J.; Howell, L.; Fox, B.; Kuhar, M. (2006). "Development of the dopamine transporter selective RTI-336 as a pharmacotherapy for cocaine abuse". The AAPS Journal. 8 (1): E196–E203. doi:10.1208/aapsj080124. PMC 2751440. PMID 16584128.
  21. Davies, Huw M.L; Ren, Pingda; Kong, Norman; Sexton, Tammy; Childers, Steven R (2001). "Synthesis and monoamine transporter affinity of 3β-(4-(2-pyrrolyl)phenyl)-8-azabicyclo[3.2.1]octanes and 3β-(5-Indolyl)-8-azabicyclo[3.2.1]octanes". Bioorganic & Medicinal Chemistry Letters. 11 (4): 487–489. doi:10.1016/S0960-894X(00)00701-0. ISSN 0960-894X. PMID 11229754.
  22. Davies, H. M.; Gilliatt, V; Kuhn, L. A.; Saikali, E; Ren, P; Hammond, P. S.; Sexton, T; Childers, S. R. (2001). "Synthesis of 2β-Acyl-3β-(substituted naphthyl)-8-azabicyclo[3.2.1]octanes and Their Binding Affinities at Dopamine and Serotonin Transport Sites". Journal of Medicinal Chemistry. 44 (10): 1509–1515. doi:10.1021/jm000363+. PMID 11334561.
  23. Carroll, F. I.; Gao; Abraham; Lewin; Lew; Patel; Boja; Kuhar (1992). "Probes for the cocaine receptor. Potentially irreversible ligands for the dopamine transporter". Journal of Medicinal Chemistry. 35 (10): 1813–1817. doi:10.1021/jm00088a017. PMID 1588560.
  24. Wu; Reith, M.; Walker, Q.; Kuhn, C.; Carroll, F.; Garris, P. (2002). "Concurrent autoreceptor-mediated control of dopamine release and uptake during neurotransmission: an in vivo voltammetric study". Journal of Neuroscience. 22 (14): 6272–6281. doi:10.1523/JNEUROSCI.22-14-06272.2002. PMC 6757948. PMID 12122086.
  25. Murthy, V; Martin, TJ; Kim, S; Davies, HM; Childers, SR (August 2008). "In vivo characterization of a novel phenylisothiocyanate tropane analog at monoamine transporters in rat brain". J. Pharmacol. Exp. Ther. 326 (2): 587–95. doi:10.1124/jpet.108.138842. PMID 18492949.
  26. Xu, L.; Kulkarni, S. S.; Izenwasser, S.; Katz, J. L.; Kopajtic, T.; Lomenzo, S. A.; Newman, A. H.; Trudell, M. L. (2004). "Synthesis and Monoamine Transporter Binding of 2-(Diarylmethoxymethyl)-3β-aryltropane Derivatives". Journal of Medicinal Chemistry. 47 (7): 1676–82. doi:10.1021/jm030430a. PMID 15027858.
  27. Hong, W. C.; Kopajtic, T. A.; Xu, L.; Lomenzo, S. A.; Jean, B.; Madura, J. D.; Surratt, C. K.; Trudell, M. L.; Katz, J. L. (2016). "2-Substituted 3 -Aryltropane Cocaine Analogs Produce Atypical Effects without Inducing Inward-Facing Dopamine Transporter Conformations". Journal of Pharmacology and Experimental Therapeutics. 356 (3): 624–634. doi:10.1124/jpet.115.230722. ISSN 1521-0103. PMC 4767397. PMID 26769919. nih.gov article (inclu. structural depictions)
  28. Cesati, RR 3rd; Tamagnan, G; Baldwin, RM; Zoghbi, SS; Innis, RB; Kula, NS; Baldessarini, RJ; Katzenellenbogen, JA (2002). "Synthesis of cyclopentadienyltricarbonyl rhenium phenyltropanes by double ligand transfer: organometallic ligands for the dopamine transporter". Bioconjug Chem. 13 (1): 29–39. doi:10.1021/bc010011x. PMID 11792176.
  29. Bloom, Jacob W. G.; Wheeler, Steven E. (2011). "Taking the Aromaticity out of Aromatic Interactions". Angew. Chem. 123 (34): 7993–7995. doi:10.1002/ange.201102982.
  30. A novel spirocyclic tropanyl-Δ²-isoxazoline derivative enhances citalopram and paroxetine binding to serotonin transporters as well as serotonin uptake. Bioorg Med Chem 2012 Nov 10;20(21):6344-55. Epub 2012 Sep 10.
  31. Hanna, Mona M. (2007). "Synthesis of some tropane derivatives of anticipated activity on the reuptake of norepinephrine and/or serotonin". Bioorganic. 15 (24): 7765–7772. doi:10.1016/j.bmc.2007.08.055. PMID 17870537.
  32. Goodman, Mark M. (2003). "Synthesis and Characterization of Iodine-123 Labeled 2β-Carbomethoxy-3β-(4′-((Z)-2-iodoethenyl)phenyl)nortropane. A Ligand for in Vivo Imaging of Serotonin Transporters by Single-Photon-Emission Tomography". Journal of Medicinal Chemistry. 46 (6): 925–935. doi:10.1021/jm0100180. PMID 12620070.
  33. Blough, B.; Abraham, P.; Lewin, A.; Kuhar, M.; Boja, J.; Carroll, F. (1996). "Synthesis and transporter binding properties of 3β-(4′-alkyl-, 4′-alkenyl-, and 4′-alkynylphenyl)nortropane-2β-carboxylic acid methyl esters: serotonin transporter selective analogs". Journal of Medicinal Chemistry. 39 (20): 4027–4035. doi:10.1021/jm960409s. PMID 8831768.
  34. Spealman, R. D.; Kelleher, R. T. (Mar 1981). "Self-administration of cocaine derivatives by squirrel monkeys". The Journal of Pharmacology and Experimental Therapeutics. 216 (3): 532–536. ISSN 0022-3565. PMID 7205634.
  35. Carroll, F.; Tyagi, S.; Blough, B.; Kuhar, M.; Navarro, H. (2005). "Synthesis and monoamine transporter binding properties of 3α-(substituted phenyl)nortropane-2β-carboxylic acid methyl esters. Norepinephrine transporter selective compounds". Journal of Medicinal Chemistry. 48 (11): 3852–3857. doi:10.1021/jm058164j. PMID 15916437.
  36. Purushotham, M; Sheri, A; Pham-Huu, D. P.; Madras, B. K.; Janowsky, A; Meltzer, P. C. (2011). "The synthesis and biological evaluation of 2-(3-methyl or 3-phenylisoxazol-5-yl)-3-aryl-8-thiabicyclo3.2.1octanes". Bioorganic & Medicinal Chemistry Letters. 21 (1): 48–51. doi:10.1016/j.bmcl.2010.11.076. PMC 3015105. PMID 21146984.
  37. Wu, Xiaoai; Cai, Huawei; Ge, Ran; Li, Lin; Jia, Zhiyun (2015). "Recent Progress of Imaging Agents for Parkinson's Disease". Current Neuropharmacology. 12 (6): 551–563. doi:10.2174/1570159X13666141204221238. ISSN 1570-159X. PMC 4428027. PMID 25977680.
  38. Sakamuri, Sukumar; et al. (2000). "Synthesis of novel spirocyclic cocaine analogs using the Suzuki coupling". Tetrahedron Letters. 41 (13): 2055–2058. doi:10.1016/S0040-4039(00)00113-1.
  39. exo-2-Phenyl-7-azabicyclo[2.2.1]heptane-1-carboxylic Acid: A New Constrained Proline Analogue. Source: Tetrahedron Letters, Volume 36, Number 39, 25 September 1995, pp. 7123-7126(4)
  40. Kozikowski, A. P.; Araldi, G. L.; Boja, J.; Meil, W. M.; Johnson, K. M.; Flippen-Anderson, J. L.; George, C.; Saiah, E. (1998). "Chemistry and Pharmacology of the Piperidine-Based Analogues of Cocaine. Identification of Potent DAT Inhibitors Lacking the Tropane Skeleton". Journal of Medicinal Chemistry. 41 (11): 1962–9. CiteSeerX 10.1.1.512.7158. doi:10.1021/jm980028+. PMID 9599245.
  41. NIH U.S. National Library of Medicine. PubChem CID: 44337825, InChI Key: MHDRABCQAWNSIK-PZORYLMUSA-N
  42. Further SAR Studies of Piperidine-Based Analogues of Cocaine. 2. Potent Dopamine and Serotonin Reuptake Inhibitors J. Med. Chem. 2000,43,1215-1222
  43. Napier, Susan; Bingham, Matilda (2009). Transporters as Targets for Drugs. Topics in Medicinal Chemistry. 4. Bibcode:2009ttd..book.....N. doi:10.1007/978-3-540-87912-1. ISBN 978-3-540-87911-4.
  44. Stehouwer, Jeffrey S. (2006). "Synthesis, Radiosynthesis, and Biological Evaluation of Carbon-11 Labeled 2β-Carbomethoxy-3β-(3′-(( Z )-2-haloethenyl)phenyl)nortropanes: Candidate Radioligands for in Vivo Imaging of the Serotonin Transporter with Positron Emission Tomography". Journal of Medicinal Chemistry. 49 (23): 6760–6767. doi:10.1021/jm060641q. PMID 17154506.
  45. Deskus, Jeffrey A. (2007). "Conformationally restricted homotryptamines 3. Indole tetrahydropyridines and cyclohexenylamines as selective serotonin reuptake inhibitors". Bioorganic & Medicinal Chemistry. 17 (11): 3099–3104. doi:10.1016/j.bmcl.2007.03.040. PMID 17391962.
  46. Schmitz, William D. (2005). "Homotryptamines as potent and selective serotonin reuptake inhibitors (SSRIs)". Bioorganic & Medicinal Chemistry. 15 (6): 1619–1621. doi:10.1016/j.bmcl.2005.01.059. PMID 15745809.
  47. Plisson, Christophe (2007). "Synthesis and in Vivo Evaluation of Fluorine-18 and Iodine-123 Labeled 2β-Carbo(2-fluoroethoxy)-3β-(4′-(( Z )-2-iodoethenyl)phenyl)nortropane as a Candidate Serotonin Transporter Imaging Agent". Journal of Medicinal Chemistry. 50 (19): 4553–4560. doi:10.1021/jm061303s. PMID 17705359.
  48. McMahon, C. G.; McMahon, C. N.; Leow, L. J. (2006). "New agents in the treatment of premature ejaculation". Neuropsychiatric Disease and Treatment. 2 (4): 489–503. doi:10.2147/nedt.2006.2.4.489. PMC 2671940. PMID 19412497.
  49. Leung, K (2004). "N-4-Fluorobut-2-yn-1-yl-2β-carbo-[11C]methoxy-3β-phenyltropane". PMID 22073420. Cite journal requires |journal= (help)
  50. Stenzinger, W; Blömker, A; Hiddemann, W; de Loo, J (1990). "Treatment of refractory multiple myeloma with the vincristine-adriamycin-dexamethasone (VAD) regimen". Blut. 61 (2–3): 55–9. doi:10.1007/bf02076700. PMID 2207342.
  51. Ma, S; Cheng, MH; Guthrie, DA; Newman, AH; Bahar, I; Sorkin, A (2017). "Targeting of dopamine transporter to filopodia requires an outward-facing conformation of the transporter". Sci Rep. 7 (1): 5399. Bibcode:2017NatSR...7.5399M. doi:10.1038/s41598-017-05637-x. PMC 5511133. PMID 28710426.

Im-pact indices (exact locations within sources cited) & foot-notations

  1. [1]Page #929 (5th page of article) § II
  2. Many of the RTI phenyltropanes are "RTI-4229-×××" where × is the specific phenyltropane code number.

    e.g. RTI-55 is in-fact RTI-4229-55 but given below as simply RTI-55 for the sake of simplicity in shorthand (following as is done in the literature itself) as the subject matter in context is wholly within the scope of the phenyltropane coded category herein. Sometimes (more rarely) it is given as RTI-COC-××× for "cocaine derivative."

    Worth mentioning in notation as to explain that other compounds entirely unrelated can be found with the same "RTI-×××" short-numbered assignation. Therefore it is to be expected that within different contexts a compound or chemical of the same name very possibly could be in reference to a entirely other substance of another chemical series non-analogous to those in this topic.
  3. [1]Page #970 (46th page of article) §B, 10th line
  4. [1]Page #971 (47th page of article) 1st ¶, 10th line
  5. Beta (i.e. 2,3 Rectus)-Carbmethoxy-Phenyl-Tropane
  6. Beta (i.e. 2,3 Rectus)-Carbmethoxy-Fluorophenyl-Tropane
  7. [1]Page #940 (16th page of article) underneath Table 8., above § 4
  8. [1]Page #941 (17th page of article) Figure 10
  9. [1]Page #967 (43rd page of article) 2nd column
  10. [1]Page #967 (43rd page of article) 2nd column
  11. [1]Page #955 (31st page of article) 1st (left) column, 2nd ¶
This article is issued from Wikipedia. The text is licensed under Creative Commons - Attribution - Sharealike. Additional terms may apply for the media files.