Metabutoxycaine
Metabutoxycaine, marketed under the trade name Primacaine, is a local anesthetic. It is used in dentistry.[1]
![]() | |
| Clinical data | |
|---|---|
| Routes of administration | Dental syringe (as novocaine is administered) |
| Pharmacokinetic data | |
| Metabolism | Lasts for at least 12 hours after injection. |
| Identifiers | |
IUPAC name
| |
| CAS Number | |
| PubChem CID | |
| ChemSpider | |
| UNII | |
| CompTox Dashboard (EPA) | |
| Chemical and physical data | |
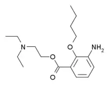
| Formula | C17H28N2O3 |
| Molar mass | 308.422 g·mol−1 |
| 3D model (JSmol) | |
SMILES
| |
InChI
| |
| (verify) | |
References
- Wang HS, Gao MS, Li S (December 2003). "[Application of primacaine in operative dentistry: analysis of clinical results]". Shanghai Kou Qiang Yi Xue = Shanghai Journal of Stomatology (in Chinese). 12 (6): 452, 459. PMID 14966589.
This article is issued from Wikipedia. The text is licensed under Creative Commons - Attribution - Sharealike. Additional terms may apply for the media files.
