Roquinimex
Roquinimex (Linomide) is a quinoline derivative immunostimulant which increases NK cell activity and macrophage cytotoxicity. It also inhibits angiogenesis and reduces the secretion of TNF alpha.
![]() | |
| Clinical data | |
|---|---|
| ATC code | |
| Pharmacokinetic data | |
| Elimination half-life | 26-42 hours |
| Identifiers | |
IUPAC name
| |
| CAS Number | |
| PubChem CID | |
| ChemSpider | |
| UNII | |
| CompTox Dashboard (EPA) | |
| ECHA InfoCard | 100.163.758 |
| Chemical and physical data | |
| Formula | C18H16N2O3 |
| Molar mass | 308.337 g·mol−1 |
| 3D model (JSmol) | |
SMILES
| |
InChI
| |
| | |
Roquinimex has been investigated as a treatment for some cancers (including as adjuvant therapy after bone marrow transplantation in acute leukemia) and autoimmune diseases, such as multiple sclerosis and recent-onset type I diabetes. Several trials have been terminated due to serious cardiovascular toxicity.
Synthesis

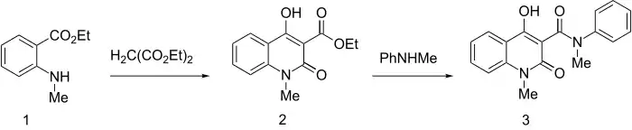
Roquinimex synthesis:[1]
Ethyl 2-(methylamino)benzoate is condensed with ethyl malonate. Amine-ester interchange of that compound with N-methylaniline results in formation of the amide roquinimex.
References
- E. Eriksoo et al., EP 59698; eidem, U.S. Patent 4,738,971 (1982, 1988 both to AB Leo).
This article is issued from Wikipedia. The text is licensed under Creative Commons - Attribution - Sharealike. Additional terms may apply for the media files.
