Conorfone

Conorfone (INN; TR-5109), also known as conorphone and codorphone, as well as conorphone hydrochloride (USAN), is an opioid analgesic that was never marketed.[1] It is an analogue of hydrocodone substituted with an 8-ethyl group and an N-cyclopropylmethyl group. It acts as a mixed agonist-antagonist at the μ-opioid receptor, and is slightly more potent than codeine in analgesic effects but associated with somewhat greater side effects.[2]

Conorfone
Clinical data
ATC code
  • None
Identifiers
IUPAC name
  • (5α,8β)-17-(Cyclopropylmethyl)-8-ethyl-3-methoxy-4,5-epoxymorphinan-6-one
CAS Number
PubChem CID
ChemSpider
UNII
ChEMBL
Chemical and physical data
FormulaC23H29NO3
Molar mass367.489 g·mol−1
3D model (JSmol)
SMILES
  • O=C4[C@@H]5Oc1c2c(ccc1OC)CC3N(CC[C@]25[C@H]3[C@@H](CC)C4)CC6CC6

Synthesis

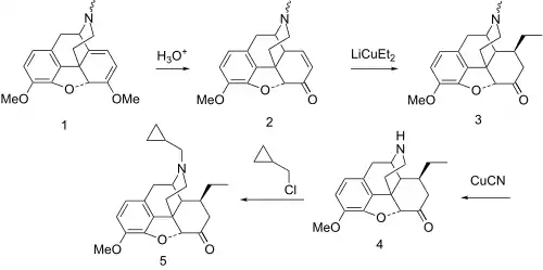
Codorphone synthesis:[3]

Exposure of thebaine (1) to mild acid leads to hydrolysis of the enol ether function followed by migration of the double bond to yield the conjugated enone (2). Addition of lithium diethylcuprate proceeds by 1,4-addition from the less hindered side to give the intermediate 3. Treatment of that with cyanogen bromide under von Braun reaction conditions leads to the isolable aminocyanide. This is the converted to the secondary amine (4) by treatment with aqueous base. Alkylation of that intermediate with cyclopropylmethyl chloride[4][5] affords the analgesic codorphone (5).

See also

References

  1. F.. Macdonald (1997). Dictionary of Pharmacological Agents. CRC Press. p. 514. ISBN 978-0-412-46630-4. Retrieved 12 May 2012.
  2. Dionne RA, Wirdezk PR, Butler DP, Fox PC (1984). "Comparison of conorphone, a mixed agonist-antagonist analgesic, to codeine for postoperative dental pain". Anesthesia Progress. 31 (2): 77–81. PMC 2515536. PMID 6597688.
  3. Kotick, Michael P.; Leland, David L.; Polazzi, Joseph O.; Schut, Robert N. (1980). "Analgesic narcotic antagonists. 1. 8.beta.-Alkyl-, 8.beta.-acyl-, and 8.beta.-(tertiary alcohol)dihydrocodeinones and -dihydromorphinones". Journal of Medicinal Chemistry. 23 (2): 166–74. doi:10.1021/jm00176a012. PMID 6153723.
  4. U.S. Patent 6,118,032
  5. U.S. Patent 6,077,981


This article is issued from Wikipedia. The text is licensed under Creative Commons - Attribution - Sharealike. Additional terms may apply for the media files.