Carboprost

Carboprost (INN, trade names for the tromethamine salts Hemabate, Tham) is a synthetic prostaglandin analogue of PGF (specifically, it is 15-methyl-PGF) with oxytocic properties.

Carboprost
Clinical data
AHFS/Drugs.comMicromedex Detailed Consumer Information
MedlinePlusa600042
Pregnancy
category
  • c
Routes of
administration
Intramuscular
ATC code
Legal status
Legal status
  • In general: ℞ (Prescription only)
Identifiers
IUPAC name
  • (5Z,9α,11α,13E,15S)-9,11,15-trihydroxy-15- methylprosta-5,13-dien-1-oic acid
CAS Number
PubChem CID
DrugBank
ChemSpider
UNII
ChEBI
ChEMBL
CompTox Dashboard (EPA)
Chemical and physical data
FormulaC21H36O5
Molar mass368.514 g·mol−1
3D model (JSmol)
SMILES
  • O=C(O)CCC/C=C/C[C@H]1[C@@H](O)C[C@@H](O)[C@@H]1/C=C/[C@](O)(C)CCCCC
InChI
  • InChI=1S/C21H36O5/c1-3-4-9-13-21(2,26)14-12-17-16(18(22)15-19(17)23)10-7-5-6-8-11-20(24)25/h5,7,12,14,16-19,22-23,26H,3-4,6,8-11,13,15H2,1-2H3,(H,24,25)/b7-5-,14-12+/t16-,17-,18+,19-,21+/m1/s1 Y
  • Key:DLJKPYFALUEJCK-IIELGFQLSA-N Y
 NY (what is this?)  (verify)

Carboprost main use is in the obstetrical emergency of postpartum hemorrhage which reduces postpartum bleeding during these circumstances.

Indication

Used in postpartum hemorrhage caused by uterine atony not controlled by other methods. One study has shown that carboprost tromethamine is more effective than oxytocin in preventing postpartum hemorrhage in high-risk patients undergoing cesarean delivery.[1] Carboprost is also used for the termination of pregnancy in the 2nd trimester.[2]

Unlabeled use:

  • Hemorrhagic Cystitis
  • PID

Contraindication

Contraindicated in severe cardiovascular, renal, and hepatic disease. It is also contraindicated in acute Pelvic Inflammatory Disease. Hypersensitivity to carboprost or any of its components is also a contraindication[2] Exert caution in asthmatic patients as carboprost may cause bronchospasm.

Precautions

  • asthma
  • anemia
  • jaundice
  • diabetes mellitus
  • seizure disorders
  • past uterine surgery

Adverse Effects

  • diarrhea (most common, may be sudden in onset)
  • flushing or hot flashes
  • fever
  • chills
  • nausea/vomiting

Storage and Availability

Carboprost is supplied with its salt derivative tromethamine in 1 milliliter ampules containing a 250 microgram/milliliter solution of the active drug. The drug must be refrigerated at a temperature between 2 – 8 degrees Celsius.[2]

Synthesis

A significant deactivating metabolic transformation of natural prostaglandins is enzymatic oxidation of the C-15 hydroxyl to the corresponding ketone. This is prevented, with retention of activity, by methylation to give the C-15 tertiary carbinol series.

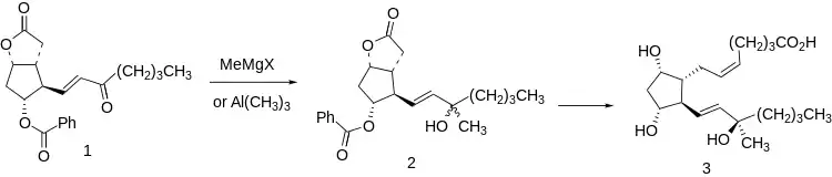
Carboprost synthesis:[3][4] G. L. Bundy et al., DE 2121980; G. L. Bundy, U.S. Patent 3,728,382 (1971, 1973 both to Upjohn).

This molecular feature is readily introduced at the stage of the Corey lactone (1) by reaction with methyl Grignard reagent or trimethylaluminium. The resulting mixture of tertiary carbinols (2) is transformed to oxytocic carboprost (3) by standard transformations, including separation of diastereomers, so that the final product is the C-15 analogue. This diastereomer is reputably freeer of porstaglandin side effects than the C-15 (S) isomer.

See also

  • Arbaprostil

References

  1. Bai J, Sun Q, Zhai H (January 2014). "A comparison of oxytocin and carboprost tromethamine in the prevention of postpartum hemorrhage in high-risk patients undergoing cesarean delivery". Experimental and Therapeutic Medicine. 7 (1): 46–50. doi:10.3892/etm.2013.1379. PMC 3861477. PMID 24348762.
  2. Hemabate [Package Insert]. New York, NY: Pharmacia and Upjohn Company; 2014.
  3. Yankee EW, Axen U, Bundy GL (September 1974). "Total synthesis of 15-methylprostaglandins". Journal of the American Chemical Society. 96 (18): 5865–76. doi:10.1021/ja00825a027. PMID 4416671.
  4. Bundy G, Lincoln F, Nelson N, Pike J, Schneider W (April 1971). "Novel prostaglandin syntheses". Annals of the New York Academy of Sciences. 180 (1): 76–90. Bibcode:1971NYASA.180...76B. doi:10.1111/j.1749-6632.1971.tb53186.x. PMID 5286110. S2CID 34735617.

Further reading

  • Indman PD (February 2004). "Use of carboprost to facilitate hysteroscopic resection of submucous myomas". The Journal of the American Association of Gynecologic Laparoscopists. 11 (1): 68–72. doi:10.1016/S1074-3804(05)60014-X. PMID 15104835.
  • Vukelić J (2001). "Second trimester pregnancy termination in primigravidas by double application of dinoprostone gel and intramuscular administration of carboprost tromethamine". Medicinski Pregled. 54 (1–2): 11–6. PMID 11436877.
  • Ippoliti C, Przepiorka D, Mehra R, Neumann J, Wood J, Claxton D, et al. (December 1995). "Intravesicular carboprost for the treatment of hemorrhagic cystitis after marrow transplantation". Urology. 46 (6): 811–5. doi:10.1016/S0090-4295(99)80349-5. PMID 7502421.
  • Carboprost at the US National Library of Medicine Medical Subject Headings (MeSH)
This article is issued from Wikipedia. The text is licensed under Creative Commons - Attribution - Sharealike. Additional terms may apply for the media files.