CAR-302,196
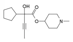
CAR-302,196 (also known as PCMG or just by its code number 302196) is a moderately potent and relatively short lasting anticholinergic deliriant drug, related to the chemical warfare agent 3-Quinuclidinyl benzilate (QNB). It was developed under contract to Edgewood Arsenal during the 1960s as part of the US military chemical weapons program, during research to improve upon the properties of earlier agents such as QNB.
![]() | |
| Identifiers | |
|---|---|
IUPAC name
| |
| CAS Number | |
| PubChem CID | |
| ChemSpider | |
| CompTox Dashboard (EPA) | |
| Chemical and physical data | |
| Formula | C16H25NO3 |
| Molar mass | 279.380 g·mol−1 |
| 3D model (JSmol) | |
SMILES
| |
InChI
| |
| (verify) | |
CAR-302,196 was found to be only around 1/4 the potency of QNB, but its onset of action was much faster at only a few minutes, and the duration far shorter at only 2–3 hours. A fast-acting and short-lasting anticholinergic drug was felt to be more desirable for some applications.[1][2]
See also
References
- Possible Long-Term Health Effects of Short-Term Exposure to Chemical Agents. Commission on Life Sciences. 1. The National Academies Press. 1982. pp. 206–207.
- Ketchum JS (2006). Chemical Warfare Secrets Almost Forgotten. A Personal Story of Medical Testing of Army Volunteers with Incapacitating Chemical Agents During the Cold War. ChemBooks Inc. ISBN 978-1-4243-0080-8.
| mAChRs |
| ||||
|---|---|---|---|---|---|
| Precursors (and prodrugs) |
| ||||
See also: Receptor/signaling modulators • Nicotinic acetylcholine receptor modulators • Acetylcholine metabolism/transport modulators | |||||
This article is issued from Wikipedia. The text is licensed under Creative Commons - Attribution - Sharealike. Additional terms may apply for the media files.
