Sputnik V COVID-19 vaccine
Sputnik V (Russian: Спутник V) is a viral vector vaccine for COVID-19 developed by the Gamaleya Research Institute of Epidemiology and Microbiology. Registered on 11 August 2020 by the Russian Ministry of Health as Gam-COVID-Vac (Russian: Гам-КОВИД-Вак, romanized: Gam-KOVID-Vak),[2][3] Sputnik V is an adenovirus viral vector vaccine. The "V" in the name is the letter V, not the Roman numeral for five.[4]
![]() Russian Ministry of Health image of Gam-COVID-Vac vials | |
| Vaccine description | |
|---|---|
| Target | SARS-CoV-2 |
| Vaccine type | Viral vector |
| Clinical data | |
| Trade names |
|
| Other names |
|
| Routes of administration | Intramuscular |
| ATC code |
|
| Legal status | |
| Legal status |
|
| Identifiers | |
| DrugBank | |
Gam-COVID-Vac was initially approved for distribution in Russia on the preliminary results of Phase I–II studies eventually published on 4 September 2020.[5] The quick approval in early August of Gam-COVID-Vac was met with criticism in mass media and precipitated discussions in the scientific community whether this decision was justified in the absence of robust scientific research confirming the safety and efficacy of the vaccine.[2][3][6][7][8] On 2 February 2021, an interim analysis from the trial was published in The Lancet, indicating 91.6% efficacy without unusual side effects.[9]
Emergency mass-distribution of the vaccine began in December 2020. in multiple countries including Russia, Argentina, Belarus, Hungary, Serbia and the United Arab Emirates. As of February 2021, over a billion doses of the vaccine were ordered for immediate distribution globally.[10]
Technology
_%E2%80%93_(01).jpg.webp)
.jpg.webp)
Gam-COVID-Vac is a viral two-vector vaccine based on two human adenoviruses – a common cold virus – containing the gene that encodes the full-length spike protein (S) of SARS-CoV-2 to stimulate an immune response.[5][11][12] The Gam-COVID-Vac vaccine was developed by a cellular microbiologists team of the government-backed Gamaleya Research Institute of Epidemiology and Microbiology. The group was led by MD and RAS associate member Denis Logunov, who also worked on vaccines for the Ebolavirus and the MERS-coronavirus.[13]
The recombinant adenovirus types 26 and 5 are both used as vectors in the vaccine. They were biotechnology-derived and contain the SARS-CoV-2 S protein cDNA. Both of them are administered into the deltoid muscle: the Ad26-based vaccine is used on the first day and the Ad5 vaccine is used on the 21st day to boost immune response.[11][14][15]
The vaccine can be formulated in two ways: as a ready-to-use solution in water that is frozen at the common home-freezer storage temperature of −18 °C or 0 °F or lower; and as a freeze-dried powder, "Gam-COVID-Vac-Lyo", whose storage temperature is above freezing, 2–8 °C or 36–46 °F, at the common home-refrigerator temperature. The freeze-dried powder must be reconstituted with water for before use.[16]
The production of the frozen liquid formulation was developed for large-scale use, it is cheaper and easier to manufacture.
The production of the freeze-dried formulation takes much more time and resources, although it is more convenient for storage and transportation. It was developed with vaccine delivery to hard-to-reach regions of Russia in mind.[17]
The head of the Gamaleya Research Institute Alexander Ginzburg estimates that it will take 9–12 months to vaccinate the vast majority of the Russian population, assuming in-country resources are adequate.[18][19]
A single-dose version is also being developed to speed up vaccination outside Russia. It will offer less protection than the two-dose versions, but it is still expected to reach an efficacy of 85%.[20][21]
Clinical research
Phase I–II
A phase I safety trial began on 18 June.[2] On 4 September, data on 76 participants in a phase I–II trial were published, indicating preliminary evidence of safety and an immune response.[5] The results were challenged by international vaccine scientists as being incomplete, suspicious, and unreliable when identical data were reported for many of the trial participants,[22] but the authors responded that there was a small sample size of nine, and the measured results of titration could only take discrete values (800, 1600, 3200, 6400). Coupled with the observation that values tended to reach a plateau after three to four weeks, they contend that it is not unlikely that several participants would show identical results for days 21 to 28.[23]
Phase III

In early November 2020, Israel Hadassah Medical Center director-general Prof. Zeev Rotstein stated that Hadassah's branch in Moscow's Skolkovo Innovation Center was collaborating on a phase III clinical trial.[24]
The ongoing phase III study is a randomised, double-blind, placebo-controlled, multi-centre clinical trial involving 40,000 volunteers in Moscow, and is scheduled to run until May 2021.[25] In 2020–2021, phase III clinical studies were also being conducted in Belarus,[26] UAE,[27] India[28] and Venezuela.[29]
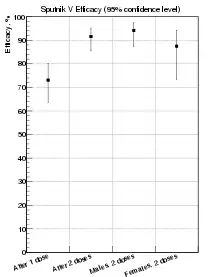
On 2 February 2021, an interim analysis from the Moscow trial was published in The Lancet, indicating 91.6% efficacy (95% CI 85.6–95.2) after the second vaccination, without unusual side effects.[30] The trial started on 7 September 2020 using the frozen liquid form of the vaccine, and data was analysed up to the second database lock on 24 November 2020. The over-60-years-old group in the trial (oldest participant was 87) had essentially the same efficacy (91.8%) as for all ages. The lowest age participants were 18 years old.[9][31]
Sputnik–AstraZeneca COVID-19 vaccine trials
On 21 December 2020 the Russian Direct Investment Fund (RDIF), the Gamaleya National Center, AstraZeneca and R-Pharm have signed an agreement aimed at the development and implementation of a clinical research program to assess the immunogenicity and safety of the combined use of one of the components of the Sputnik V vaccine developed by the Gamaleya Center, and one of the components of the AZD1222 vaccine, developed by AstraZeneca and the University of Oxford.[32] The study program will last 6 months in several countries, and it is planned to involve 100 volunteers in each study program. On 9 February 2021, the Ministry of Health of the Republic of Azerbaijan allowed clinical studies in the country for the combined use of the Sputnik V vaccine and the vaccine developed by AstraZeneca, stating that the trials would begin before the end of February 2021.[33][34]
Composition
The Gam-COVID-Vac is a two-vector vaccine.[1] The active component for both vectors is a modified (recombinant) replication-defective adenovirus of a different serotype (Serotype 26 for the first vaccination and serotype 5 for the second vaccination), which has been modified to include the protein S-expressing gene of SARS-CoV-2.[1]
The other ingredients (excipients) are the same, both quantitatively and qualitatively, in the two components.[35]
- Tris(hydroxymethyl)aminomethane
- Sodium chloride
- Sucrose
- Magnesium chloride hexahydrate
- Disodium EDTA dihydrate (buffer)
- Polysorbate 80
- Ethanol 95%
- Water
As per the official datasheet, no further components or ingredients, including other adjuvants, should be included in the vaccine.[1]
History
In May 2020, the Gamaleya Research Institute of Epidemiology and Microbiology announced that it had developed the vaccine without serious side effects. By August 2020, phases I and II of two clinical trials (involving 38 patients each) were completed. Only one of them used the formulation which later obtained marketing authorization under limited conditions.[36][37] This vaccine was given the trade name "Sputnik V", after the world's first artificial satellite.[3][7][38]
During preclinical and clinical trials, 38 participants who received one or two doses of the Gam-COVID-Vac vaccine had produced antibodies against SARS-CoV-2's spike protein, including potent neutralizing antibodies that inactivate viral particles.[2] On 11 August 2020, the Russian minister of Health Mikhail Murashko announced at a government briefing with the participation of President Vladimir Putin regulatory approval of the vaccine for widespread use. The state registration of the vaccine was carried out "conditionally" with post-marketing measures according to the decree of the Government of the Russian Federation. The registration certificate for the vaccine stated that it could not be used widely in Russia until 1 January 2021, and before that, it may be provided to "a small number of citizens from vulnerable groups", such as medical staff and the elderly, according to a Ministry of Health spokesperson.[3] The license under register number No. ЛП-006395 (LP-006395) was issued on 11 August by the Russian Ministry of Health. Although the announcement was made even before the vaccine candidate had been entered into Phase III trials, the practice of marketing authorization "on conditions" also exists in other countries.[39][40] On 26 August, certificate No. ЛП-006423 (LP-006423) was issued for the lyophilized formulation "Gam-COVID-Vac-Lyo".[2][3][7][41][5]
The commercial release of the Gam-COVID-Vac was first scheduled for September 2020. In October, Mikhail Murashko said that the Gam-COVID-Vac will be free for all Russian citizens after the launching of mass production.[42][43] Later on, Russian Ministry of Health registered maximum ex-factory price equal to 1,942 rubles for two components and included them into The National List of Essential medicines.[44] There were also suggestions to include the vaccine in the National Immunisation Calendar of Russia.[44]
According to Russian media, the mass production of the Gam-COVID-Vac was launched by 15 August. By that moment, the Russian Federation has already received applications from 20 countries for the supply of 1 billion doses of vaccine. Three facilities were able to produce about a million doses per month at each with a potential doubling of capacity by winter. By the end of 2020, Gamaleya Research Institute's production, according to an interview with the organization's spokesperson, was planned to produce 3–5 million doses.[45][46]
On 9 March 2021, an agreement was signed by the RDIF sovereign wealth fund and Swiss-based pharmaceutical company Adienne to produce the vaccine in Italy. Kirill Dmitriev, RDIF's head, told Russian state TV his fund had also struck deals with production facilities in Spain, France and Germany for local manufacturing of the vaccine.[47]
Scientific assessment
Balram Bhargava, director of the Indian Council of Medical Research, said that Russia had managed to fast-track a COVID-19 vaccine candidate through its early phases.[48]
On 11 August 2020, a World Health Organization (WHO) spokesperson said, "... prequalification of any vaccine includes the rigorous review and assessment of all required safety and efficacy data".[8]
- A WHO assistant director said, "You cannot use a vaccine or drugs or medicines without following through all of these stages, having complied with all of these stages".[49]
- Francois Balloux, a geneticist at University College London, called the Russian government's approval of Gam-COVID-Vac a "reckless and foolish decision".[2] Professor Paul Offit, the director of the Vaccine Education Center at Children's Hospital of Philadelphia, characterized the announcement was a "political stunt", and stated that the untested vaccine could be very harmful.[8]
Stephen Griffin, Associate Professor in the School of Medicine, University of Leeds, said "that we can be cautiously optimistic that SARS-CoV2 vaccines targeting the spike protein are effective." Moreover, as the Sputnik antigen is delivered via a different modality, namely using a disabled Adenovirus rather than formulated RNA, this provides flexibility in terms of perhaps one or other method providing better responses in certain age-groups, ethnicities, etc., plus the storage of this vaccine ought to be more straightforward.[50]
Stephen Evans, professor of pharmacoepidemiology at the London School of Hygiene and Tropical Medicine, said "the data [is] compatible with the vaccine being reasonably effective ... These results are consistent with what we see with other vaccines, because the really big message for global health scientists is that this disease [COVID-19] is able to be addressed by vaccines."[51]
Julian Tang, clinical virologist at the University of Leicester, said: "Despite the earlier misgivings about the way this Russian Sputnik V vaccine was rolled out more widely – ahead of sufficient Phase 3 trial data – this approach has been justified to some extent now."[52]
Ian Jones, a professor of virology at the University of Reading, and Polly Roy, professor and Chair of Virology at The London School of Hygiene and Tropical Medicine, commenting on phase III results published in the Lancet in February 2021, said "The development of the Sputnik V vaccine has been criticised for unseemly haste, corner cutting, and an absence of transparency. But the outcome reported here is clear and the scientific principle of vaccination is demonstrated, which means another vaccine can now join the fight to reduce the incidence of COVID-19."[53]
Hildegund C. J. Ertl, a vaccine scientist at the Wistar Institute, called the phase-III results published on 2 February 2021 "great": "Good safety profile, more than 90% efficacy across all age groups, 100% efficacy against severe disease or death, can be stored in the fridge and low cost. What more would we want?"[54]
According to preliminary review by experts, the lyophilized formulation of Gam-COVID-Vac is similar to the smallpox vaccine, circumventing the need for continuous "colder chain" or cold-chain storage – as required for the Pfizer–BioNTech and Moderna vaccines respectively – and allowing transportation to remote locations with reduced risk of vaccine spoilage.[55][56]
Distribution, vaccination and public perception
Early perception
An opinion poll of Canadians conducted by Léger in August 2020 found that a majority (68%) would not take the Russian vaccine if offered a free dose, compared to 14% who said they would take it. When Americans were asked the same question, 59% would not take the Russian vaccine if offered a free dose, compared to 24% who said they would take it.[57][58]
- At that time, British and American officials stated that the Gam-COVID-Vac vaccine would likely be rejected due to concerns that the normally rigorous process of vaccine clinical testing was not followed.[59] One public health expert said the quick approval of Gam-COVID-Vac by the Russian government was "cutting corners", and may harm public confidence if the vaccine proves to be unsafe or ineffective.[7] "There is a huge risk that confidence in vaccines would be damaged by a vaccine that received approval and was then shown to be harmful", said immunologist Peter Openshaw.[7]
As for early September 2020, according to public opinion polls, only half of the Russian population would take the vaccine voluntarily.[60]
In Russia

In the beginning of December 2020, Russian authorities announced the start of a large-scale free of charge vaccination with Gam-COVID-Vac for Russian citizens: the "immunization" program was launched on 5 December 2020 (with 70 Moscow-based medical centers providing vaccinations).[61]
Doctors and other medical workers, teachers, and social workers were given priority due to their highest risk of exposure to the disease.[62] The age for those receiving shots was initially capped at 60, later this restriction was lifted.[63]
Potential recipients were notified via text messaging, which says "You are working at an educational institution and have top-priority for the COVID-19 vaccine, free of charge". Patients are asked a few general health questions before getting the vaccine. Program's leaflet is handed to the patient, which warns of possible side effects, suggesting those are most likely to be mild and last a couple of days at most.[64][65][66] People with certain underlying health conditions, pregnant women, and those who have had a respiratory illness for the past two weeks are barred from vaccination.[62] Vaccine vial is removed from medical centre's freezer about 15 minutes before use.
In early December 2020, the Minister of Health, Mikhail Murashko, said that Russia had already vaccinated more than 100,000 high-risk people.[67] Forty thousand of those are volunteers in Sputnik V's Phase 3 trials, another 60,000 medics and doctors have also taken the vaccine.[68] The head of the Russian Direct Investment Fund, Kirill Dmitriev, said in an interview with the BBC that Russian medics expect to give about 2 million people coronavirus vaccinations in December.[69]
Up to the beginning of December 2020, Generium (which is supervised by Pharmstandard) and Binnopharm (which is supervised by AFK Sistema) companies produced Gam-COVID-Vac on a large scale.
On 10 December, Deputy Prime Minister Tatyana Golikova announced that approximately 6.9 million doses of the Sputnik V vaccine will enter civilian circulation in Russia before the end of February 2021.[70] Moscow Mayor Sergei Sobyanin announced that the newly-opened Moscow-based "R-Pharm" will become a leading manufacturer of Russia's Sputnik V coronavirus vaccine. Working at full capacity, the factory will produce up to 10 million doses a month.[71]
Outside Russia

According to the Russian Direct Investment Fund, they had received orders for more than 1.2 billion doses of the vaccine as of December 2020. Over 50 countries had made requests for doses, with supplies for the global market being produced by partners in India, Brazil, China, South Korea, Hungary, and other countries.[72][73] In August 2020, according to the Russian authorities, there were at least 20 countries that wanted to obtain the vaccine.[74]
While free in Russia, the cost per dose would be less than US$10 (or less than US$20 for the two doses needed to vaccinate one person) on international markets, which makes it much more affordable compared to mRNA vaccines from other manufacturers. Kirill Dmitriev, head of the fund, told reporters that over 1 billion doses of the vaccine are expected to be produced in 2021 outside of Russia.[75][76]
The Israeli Hadassah Medical Center has signed a commercial memorandum of understanding to obtain 1.5–3 million doses.[77]
- According to The New York Times' sources,[78] to secure the release of an Israeli civilian held in Syria, Israel agreed to finance a supply of Russian-made Covid-19 vaccines for Damascus.
Argentina had agreed to buy 25 million doses of Russia's Covid-19 vaccine.[79] The vaccine was registered and approved in Argentina in late December 2020.[80] The Brazilian state of Bahia has also signed an agreement to conduct Phase III clinical trials of the Sputnik V vaccine and plans to buy 50 million doses to market in northeastern Brazil.[81]
On 21 January 2021, the Argentine president Alberto Fernández became the first Latin American leader to be inoculated against the disease via the then recently approved Sputnik V.[82][83]
Due to the delay in shipping of doses from Italy and the European Union, San Marino imported doses of the Sputnik V vaccine (not approved by the E.M.A.) and started a mass vaccination on 28 February of its healthcare workers.[84]
EMA's human medicines committee (CHMP) has started a rolling review of Sputnik V (Gam-COVID-Vac), a COVID-19 vaccine developed by Russia's Gamaleya National Centre of Epidemiology and Microbiology.[85]
When asked about the prospect of Austria giving Sputnik V the approval (as some other European countries chose to do), EMA management board chair Christa Wirthumer-Hoche told Austria's ORF broadcaster: "It's somewhat comparable to Russian roulette. I would strongly advise against a national emergency authorisation," she said, pointing to the fact that there was not yet sufficient safety data about those who had already been given the vaccine. "We could have Sputnik V on the market in future, when we've examined the necessary data," she said, adding that the vaccine needed to match up to European criteria on quality control and efficacy.[86]
Although vaccination rates in Russia are below those of other developed nations (as of March 2021),[87] Russia is pursuing deals to supply its vaccine abroad.[88]
Emergency use authorization
|
Full authorization
Emergency authorization
Ordered doses |
As of December 2020, Belarus and Argentina granted emergency use authorization for the vector-based vaccine.[152] On 21 January 2021, Hungary became the first European Union country to register the shot for emergency use, as well as the United Arab Emirates in the Gulf region.[153][154][155][156][157]
On 19 January 2021, the Russian authorities applied for the registration of Sputnik V in the European Union, according to the RDIF.[158] On 10 February, the European Medicines Agency (EMA) said that they had "not received an application for a rolling review or a marketing authorisation for the vaccine". The developers have only expressed their interest that the vaccine be considered for a rolling review, but EMA's Human Medicines Committee (CHMP) and the COVID-19 EMA pandemic Task Force (COVID-ETF) need to give their agreement first before developers can submit their application for initiation of the rolling review process.[159] On 4 March 2021, the Committee for Medicinal Products for Human Use (CHMP) of the EMA started a rolling review of Sputnik V.[160] The EU applicant is R-Pharm Germany GmbH.[160]
Emergency use has also been authorized in Algeria, Bolivia, Serbia, the Palestinian territories,[161] and Mexico.[162]
On 25 January 2021, Iran approved the vaccine, with Foreign Minister Mohammad Javad Zarif saying the country hopes to begin purchases and start joint production of the shot "in the near future", after Supreme Leader Ayatollah Ali Khamenei banned the government from importing vaccines from the United States and United Kingdom.[163][164]
On 1 March 2021, Slovakia bought 2 million Sputnik V vaccines. Slovakia received the first batch of 200,000 vaccines, and expects to receive another 800,000 doses in March and April. Another 1 million vaccines are set to arrive in May and June.[165] The Czech Republic is also considering buying Sputnik V, and Prime Minister Andrej Babis dismissed the minister of health, Jan Blatný, who was a loud opponent to the use of Sputnik V. Jan Blatný's replacement, Petr Arenberger, was, just as Andrej Babis, a member of the Communist Party of Czechoslovakia and had ties to StB.[166][167][168]
On 18 March 2021, German regional leaders including State Premiers and the mayor of Berlin called for the swift approval of the Russian vaccine by the European Medicines Agency to counteract the acute shortages of effective vaccines in Europe. German medical experts have recommended its approval also, and consider the Sputnik Vaccine "clever" and "highly safe".[169]
On 19 March 2021, the Philippine Food and Drug Administration granted emergency use authorization for Sputnik V, the fourth COVID-19 vaccine to be given authorization. The Philippine government is planning to buy 20 million doses of the vaccine.[170][131]
As of 1 April, 2021, 59 countries have granted Sputnik V emergency use authorization.[171]
On 8 April 2021, the Slovak State Institute for Drug Control stated that Sputnik V has not yet been approved for use, as the first 200,000 doses received on the 31st of March were different from the reviewed vaccine, and the producers have failed to reply to requests for documentation. Due to the inconsistencies it was not possible to review the safety and efficacy of the vaccine. Slovak Prime Minister Igor Matovic resigned due to scrutiny regarding the order of Sputnik V vaccines. [172]
Production
As of March 2021, the Russian Direct Investment Fund (RDIF) has licensed production in India, China, South Korea and Brazil. In the EU, RDIF has signed production agreements, subject to European Medicines Agency approval, with companies in Germany, Spain and France, and is in negotiations with a Swiss/Italian company. By the end of March 2021 RDIF anticipates 33 million doses will have been manufactured in Russia, less than 5% of which will have been exported.[173]
An agreement for the production of over 100 million doses of vaccine in India has been made with Dr. Reddy's Laboratories, who on 11 January 2021 submitted mid-stage trial data to the Indian regulator and recommended moving onto late-stage trials.[161] The RDIF announced plans to sell 100 million doses to India, 35 million to Uzbekistan, and 32 million to Mexico, as well as 25 million each to Nepal and Egypt.[174]
In March 2021, the Italian-Russian Chamber of Commerce announced that Italy would be the first EU country to manufacture the two-dose COVID-19 vaccine under license. From July to the end of 2021, the Italian-Swiss pharmaceutical company Adienne in Caponago, Italy will manufacture 10 million doses. The announcement came in a time of acute vaccine shortages in Europe while the Sputnik V vaccine was still under review by the European Medicines Agency. Russian authorities said they would be able to provide a total of 50 million doses to European countries beginning in June 2021.[175]
The Sputnik V doses to be manufactured in South Korea are not for domestic use. The vaccine is to be exported to Russia, Algeria, Argentina, Hungary, Iran and the United Arab Emirates.[176]
References
- "Sputnik V". Russian drug reference. Medum.ru.
- Callaway E (August 2020). "Russia's fast-track coronavirus vaccine draws outrage over safety". Nature. 584 (7821): 334–335. doi:10.1038/d41586-020-02386-2. PMID 32782400.
This is a reckless and foolish decision. Mass vaccination with an improperly tested vaccine is unethical. Any problem with the Russian vaccination campaign would be disastrous both through its negative effects on health, but also because it would further set back the acceptance of vaccines in the population.
- Cohen J (11 August 2020). "Russia's approval of a COVID-19 vaccine is less than meets the press release". Science. Retrieved 13 August 2020.
- How Sputnik V works, Gamaleya Research Institute of Epidemiology and Microbiology, 11 January 2021, retrieved 18 March 2021
- Logunov DY, Dolzhikova IV, Zubkova OV, Tukhvatullin AI, Shcheblyakov DV, Dzharullaeva AS, et al. (September 2020). "Safety and immunogenicity of an rAd26 and rAd5 vector-based heterologous prime-boost COVID-19 vaccine in two formulations: two open, non-randomised phase 1/2 studies from Russia". Lancet. 396 (10255): 887–897. doi:10.1016/S0140-6736(20)31866-3. PMC 7471804. PMID 32896291.
- Mahase E (August 2020). "Covid-19: Russia approves vaccine without large scale testing or published results". BMJ. 370: m3205. doi:10.1136/bmj.m3205. PMID 32816758.
- Burki TK (November 2020). "The Russian vaccine for COVID-19". The Lancet. Respiratory Medicine. 8 (11): e85–e86. doi:10.1016/S2213-2600(20)30402-1. PMC 7837053. PMID 32896274.
- Berkeley Jr L (11 August 2020). "Scientists worry whether Russia's Sputnik V' coronavirus vaccine is safe and effective". CNBC. Retrieved 11 August 2020.
- Logunov DY, Dolzhikova IV, Shcheblyakov DV, Tukhvatulin AI, Zubkova OV, Dzharullaeva AS, et al. (2 February 2021). "Safety and efficacy of an rAd26 and rAd5 vector-based heterologous prime-boost COVID-19 vaccine: an interim analysis of a randomised controlled phase 3 trial in Russia". The Lancet. 397 (10275): 671–681. doi:10.1016/s0140-6736(21)00234-8. PMC 7852454. PMID 33545094.
- Kramer, Andrew. "Russia is offering to export hundreds of millions of vaccine doses, but can it deliver?". The New York Times. Retrieved 20 February 2021.
- "An Open Study of the Safety, Tolerability and Immunogenicity of the Drug 'Gam-COVID-Vac' Vaccine Against COVID-19". ClinicalTrials.gov. 22 June 2020.
- "Coronavirus Vaccine Trials Advance in Race for Covid-19 Protection". Bloomberg. Retrieved 10 August 2020.
- "Russia's RDIF & Prominent Government Lab Progress COVID-19 Vaccine: Production Facility Readied in the Moscow Region". trialsitenews.com. 10 June 2020. Retrieved 11 August 2020.
- Sokolov A (12 December 2020). "Сколько хотят заработать на прививках от коронавируса". Vedomosti. Archived from the original on 12 August 2020. Retrieved 20 December 2020.
- "Нормативная документация ЛП-006395-110820" (PDF) (in Russian). Russian Ministry of Health. 2020. Retrieved 21 September 2020.
- Rinat, Sagdiev; Ivanova, Polina (17 November 2020). "Russia focuses on freeze-dried vaccine doses as transport fix". Reuters. Moscow. Retrieved 16 March 2021.
- Logunov DY, Dolzhikova IV, Zubkova OV, Tukhvatullin AI, Shcheblyakov DV, Dzharullaeva AS, et al. (September 2020). "Safety and immunogenicity of an rAd26 and rAd5 vector-based heterologous prime-boost COVID-19 vaccine in two formulations: two open, non-randomised phase 1/2 studies from Russia". Lancet. 396 (10255): 887–897. doi:10.1016/S0140-6736(20)31866-3. PMC 7471804. PMID 32896291.
- "Центр Гамалеи назвал сроки вакцинации большей части населения России". RBK. 4 September 2020. Retrieved 6 September 2020.
- Sagdiev R, Ivanova P, Nikolskaya P, Swift R, Smout A (17 November 2020). Mason J, Macfie N (eds.). "Russia focuses on freeze-dried vaccine doses as transport fix". Reuters. Moscow. Retrieved 20 November 2020.
- "Russia to try out 'Sputnik-Light' COVID vaccine to make it go further". Reuters. Moscow. 11 January 2021. Retrieved 20 March 2021.
- "Study to Evaluate Efficacy, Immunogenicity and Safety of the Sputnik-Light (SPUTNIK-LIGHT)". ClinicalTrials.gov. National Institutes of Health. 19 February 2021. Retrieved 20 March 2021.
- Ellyatt H (10 September 2020). "Scientists question 'strange' data in Russian coronavirus vaccine trial after 'unlikely' patterns". CNBC. Retrieved 10 September 2020.
- Logunov DY, Dolzhikova IV, Tukhvatullin AI, Shcheblyakov DV (October 2020). "Safety and efficacy of the Russian COVID-19 vaccine: more information needed – Authors' reply". Lancet. 396 (10256): e54–e55. doi:10.1016/S0140-6736(20)31970-X. PMC 7503057. PMID 32971043. S2CID 221805026.
- "Hadassah bringing 1.5 million doses of Russian COVID-19 vaccine to Israel". The Jerusalem Post | JPost.com. Retrieved 19 November 2020.
- "Clinical Trial of Efficacy, Safety, and Immunogenicity of Gam-COVID-Vac Vaccine Against COVID-19". National Library of Medicine. Retrieved 28 September 2020.
- "Clinical Trial of Efficacy, Safety, and Immunogenicity of Gam-COVID-Vac Vaccine Against COVID-19 in Belarus". clinicaltrials.gov. Retrieved 14 January 2021.
- "UAE volunteers receive Russian Covid-19 vaccine". Khaleej Times. 10 January 2021.
- Bharadwaj S (15 January 2021). "Dr Reddy's gets DCGI nod for Covid-19 vaccine Sputnik V Phase III trials". The Times Of India.
- Clinical trial number NCT04642339 for "Clinical Trial of the Immunogenicity, Safety, and Efficacy of the Gam-COVID-Vac Vaccine Against COVID-19 in Venezuela" at ClinicalTrials.gov
- Logunov, Denis (2 February 2021). "Sputnik V COVID-19 vaccine candidate appears safe and effective". The Lancet. doi:10.1016/S0140-6736(21)00234-8.
- The Guardian: Sputnik V vaccine has 91.6% efficacy against symptomatic Covid, Russian trial suggests
- "RDIF, The Gamaleya National Center, AstraZeneca and R-Pharm sign an agreement to cooperate on COVID-19 vaccine development". The Russian Direct Investment Fund. 21 December 2020.
- "Azerbaijan allowed for the first in the world to study a combination of "Sputnik V" vaccine and COVID-19 vaccine developed by "AstraZeneca" Company". MoH of Azerbaijan. 9 February 2021.
- "Study in Adults to Determine the Safety and Immunogenicity of AZD1222, a Non-replicating ChAdOx1 Vector Vaccine, Given in Combination With rAd26-S, Recombinant Adenovirus Type 26 Component of Gam-COVID-Vac Vaccine, for the Prevention of COVID-19". ClinicalTrials.gov. U.S. National Library of Medicine. 14 January 2021. NCT04686773. Retrieved 9 February 2021.
- "ИНСТРУКЦИЯ ПО МЕДИЦИНСКОМУ ПРИМЕНЕНИЮ ЛЕКАРСТВЕННОГО ПРЕПАРАТА Гам-КОВИД-Вак, Комбинированная векторная вакцина для профилактики коронавирусной инфекции, вызываемой вирусом SARS-CoV-2" (PDF). МИНИСТЕРСТВО ЗДРАВООХРАНЕНИЯ РОССИЙСКОЙ ФЕДЕРАЦИИ.
- "Russia plans to start producing coronavirus vaccine in September". Daily Sabah. 13 June 2020. Retrieved 10 August 2020.
- Ermakov A (11 August 2020). "Вакцина от COVID-19 – в словах чиновников и документах разработчика" [Vaccine for COVID-19 - in the words of officials and developer documents] (in Russian). Fontanka.ru. Retrieved 21 September 2020.
- Tétrault-Farber G, Soldatkin V (11 August 2020). "Russia becomes first country to approve a COVID-19 vaccine, says Putin". Reuters. Moscow. Retrieved 11 August 2020.
- "About the vaccine to prevent the novel coronavirus infection COVID-19, "Gam-COVID-Vac", developed by the National Research Centre for Epidemiology and Microbiology named after academician N. F. Gamalei of the Ministry of Health of the Russian Federation". Federal Service for Surveillance in Healthcare. 12 August 2020. Retrieved 18 August 2020.
- "Ministry of Health of the Russian Federation has issued a registration certification № ЛП-006395 dated 11 August 2020 for a vaccine to prevent the novel coronavirus infection COVID-19". Federal Service for Surveillance in Healthcare. 11 August 2020. Retrieved 21 September 2020.
- "Coronavirus: Putin says vaccine has been approved for use". BBC. 11 August 2020. Retrieved 11 August 2020.
- "Минздрав пообещал россиянам бесплатную вакцинацию от COVID-19" [Ministry of Health promised Russians free vaccination against COVID-19]. RBC.ru (in Russian). Retrieved 23 October 2020.
- "В будущем вакцинация от COVID-19 будет проходить бесплатно" [In the future, vaccination against COVID-19 will be free of charge]. Russian Newspaper (in Russian). Retrieved 23 October 2020.
- "Минздрав зарегистрировал предельную отпускную цену на вакцину "Спутник V"" [The Ministry of Health registered the maximum selling price for the Sputnik V vaccine] (in Russian). RIA. 5 December 2020. Retrieved 21 September 2020.
- "Голикова назвала сроки выпуска первых партий вакцин НИЦ Гамалеи и "Вектора"" [Golikova announced the timing of the release of the first batches of vaccines of the Research Center of Gamaleya and "Vector"] (in Russian). Interfax. 29 July 2020.
- "Запущено производство российской антикоронавирусной вакцины" [Production of Russian anti-coronavirus vaccine launched] (in Russian). Vesti. 15 August 2020. Retrieved 21 September 2020.
- Osborn A, Tétrault-Farber G (9 March 2021). "Russia's Sputnik V COVID-19 vaccine could be produced in western Europe for first time after reported deals". The Globe and Mail. Retrieved 9 March 2021.
- "Russia has successfully fast tracked Covid-19 vaccine development, says India". Mint. 14 July 2020. Retrieved 11 August 2020.
- Nebehay S (11 August 2020). Shields M (ed.). "WHO says discussing new COVID-19 vaccine with Russia". Reuters. Geneva. Retrieved 11 August 2020.
- Reuters Staff (2020-11-11). "Instant view-Russia says its Sputnik V COVID-19 vaccine is 92% effective"
- Brown C (28 November 2020). "Russia says its COVID vaccine is 95% effective. So why is there still Western resistance to it?". www.cbc.ca. Retrieved 3 December 2020.
- Zamira Rahim. "Russia's Sputnik V vaccine is 91.6% effective against symptomatic Covid-19, interim trial results suggest". CNN. Retrieved 9 February 2021.
- Jones, Ian; Roy, Polly (2 February 2021). "Sputnik V COVID-19 vaccine candidate appears safe and effective". The Lancet. 397 (10275): 642–643. doi:10.1016/S0140-6736(21)00191-4. ISSN 0140-6736. PMC 7906719. PMID 33545098.
- Taylor, Adam; Johnson, Carolyn Y. "Russian vaccine Sputnik V more than 90% effective in interim trial". The Washington Post. ISSN 0190-8286. Retrieved 9 February 2021.
- Balakrishnan VS (1 October 2020). "The arrival of Sputnik V". The Lancet Infectious Diseases. 20 (10): 1128. doi:10.1016/S1473-3099(20)30709-X. PMC 7511201. PMID 32979327.
- Irfan U (11 December 2020). "Why staying cold is so important to a Covid-19 vaccine. The Moderna and Pfizer vaccines need to be stored at low temperatures. Are global health systems prepared?". Vox. Retrieved 27 December 2020.
- Cyr E (24 August 2020). "Leger's Weekly Survey" (PDF). leger360.com. Archived from the original (PDF) on 5 September 2020. Retrieved 5 September 2020.
- Leger's Weekly Survey on Russian vaccine; saved copy on 5 38.com
- Mullin J, Malnick E (1 August 2020). "Britain unlikely to use Russia's 'untrustworthy' Covid vaccine". The Telegraph. Archived from the original on 19 August 2020. Retrieved 6 September 2020.
- Ullah Z, Chernova A (6 September 2020). "Putin's vaccine meets opposition from frontline workers in Russia". CNN. Retrieved 6 September 2020.
- "Covid: Russia begins vaccinations in Moscow". BBC. 5 December 2020. Retrieved 11 December 2020.
- Soldatkin V, Oziel C (5 December 2020). Char P (ed.). "Moscow rolls out Sputnik V COVID-19 vaccine to most exposed groups". Reuters.
- "Russia approves Sputnik V COVID-19 vaccine for people over 60: media". Reuters. 26 December 2020.
- "Covid: Russia begins vaccinations in Moscow". BBC News. 5 December 2020.
- "Moscow delivers Russia's Sputnik V coronavirus vaccine to clinics". The Guardian. Reuters. 5 December 2020.
- "Coronavirus: Russia rolls out COVID vaccination in Moscow". Deutsche Welle. 5 December 2020.
- Marrow A, Ostroukh A (2 December 2020). "Putin orders Russia to begin a large-scale voluntary COVID-19 vaccination program next week". The Globe and Mail. Retrieved 3 December 2020.
- "COVID-19: Moscow opens Sputnik V clinics – but 100,000 have already had it". Sky News.
- "Russia to vaccinate two million against COVID-19 in Dec – RDIF head to BBC". Reuters. 4 December 2020. Retrieved 21 September 2020.
- "About 6.9 mln doses of Sputnik V vaccine to enter circulation in Russia by end of February". TASS. 10 December 2020. Retrieved 21 September 2020.
- "Coronavirus in Russia: The Latest News". The Moscow Times. 22 December 2020. Retrieved 21 September 2020.
- Rodgers J. "Facing Record COVID-19 Case Rise, Russia Rolls Out Sputnik V Vaccine". Forbes.
- Arkhipov I, Kravchenko S (2 December 2020). "Putin Orders Start of Mass Covid-19 Shots Hours After U.K. News". Bloomberg News.
- Meyer H, Arkhipov I. "Russia Defends First Covid-19 Vaccine as Safe Amid Skepticism". Bloomberg News. Retrieved 12 August 2020.
- Litvinova D (24 November 2020). "Russian virus vaccine to cost less than $10 per dose abroad". Associated Press.
- Osborn A, Nikolskaya P (24 November 2020). "Russia's Sputnik COVID-19 vaccine to cost less than $20 per person internationally". The Globe and Mail. Retrieved 28 November 2020.
- Jaffe-Hoffman M (12 November 2020). "Israel to receive Russia's 92% effective COVID vaccine". The Jerusalem Post. Retrieved 19 November 2020.
- Kingsley, Patrick; Bergman, Ronen; Kramer, Andrew E. (21 February 2021). "Israel Secretly Agrees to Fund Vaccines for Syria as Part of Prisoner Swap". The New York Times. ISSN 0362-4331. Retrieved 3 March 2021.
- "Argentina agrees to buy 25 million doses of Russia's Covid-19 vaccine". www.batimes.com.ar. 30 November 2020.
- "Argentina Approves Russian Vaccine With Plane Waiting in Moscow". Bloomberg.com. 23 December 2020.
- Boadle A (24 October 2020). Wallis D (ed.). "Second Brazilian company to produce Russia's Sputnik V COVID-19 vaccine". Reuters.
- "Argentina's president sits for Russian Covid jab". France 24. 21 January 2021.
- Centenera M (21 January 2021). "Alberto Fernández, primer presidente de América Latina en vacunarse contra la covid-19 (in Spanish)". EL PAÍS (in Spanish).
- Camparsi, Maria Letizia. "Vaccino Sputnik, a San Marino 400 dosi al giorno dal 1 marzo: "Sicurezza? Confortati dagli studi. Per ora lo diamo solo ai nostri cittadini" (in Italian). Il Fatto Quotidiano. Retrieved 1 March 2021.
- "EMA starts rolling review of the Sputnik V COVID-19 vaccine".
- "EU medical official warns of Sputnik jab 'Russian roulette'".
- "Coronavirus (COVID-19) Vaccinations - Statistics and Research". Our World in Data. Retrieved 3 March 2021.
- "Putin Battles to Sell Russia's Vaccine in New Rift With West". Bloomberg.com. 31 December 2020. Retrieved 3 March 2021.
- "Covid19: National Pharmaceuticals Agency registers Sputnik V vaccine". Algeria Press service. 10 January 2021.
- "Angola, Congo Republic and Djibouti approve Russia's Sputnik V vaccine". Reuters. 3 March 2021.
- "Antigua and Barbuda authorizes Sputnik V". sputnikvaccine.com (Press release). 26 March 2021.
- "Argentina has registered the Sputnik V vaccine based on Russian clinical trial data" (Press release). Gamaleya Center. Retrieved 1 January 2021.
- "Armenia approves Russia's Sputnik V coronavirus vaccine -Russia's RDIF". Reuters. 1 February 2021. Retrieved 1 February 2021.
- "Azerbaijan approves Russia's Sputnik V vaccine for use against COVID-19 -Azeri health ministry". Reuters. 12 March 2021.
- "Russian Direct Investment Fund". rdif.ru. Retrieved 1 April 2021.
- "Bahrain authorises Sputnik V COVID-19 vaccine for emergency use – Bahrain TV". Reuters. 10 February 2021. Retrieved 19 February 2021.
- "Belarus registers Sputnik V vaccine, in first outside Russia – RDIF". Reuters. 21 December 2020. Retrieved 22 December 2020.
- "Ministerio de Salud de Bolivia – Bolivia y Rusia firman contrato para adquirir 5,2 millones de dosis de la vacuna Sputnik-V contra la COVID-19". minsalud.gob.bo. Retrieved 1 January 2021.
- "Cameroon approves Russia's Sputnik V coronavirus vaccine for use - RDIF". Reuters. 19 March 2021.
- "COVID-19: Egypt authorises Sputnik V, AstraZeneca virus jabs". Gulf News. Retrieved 24 February 2021.
- "Sputnik V authorised in Gabon" (Press release). Gamaleya Center. Retrieved 17 February 2021.
- "Ghana approves Russia's Sputnik V vaccine for emergency use – RDIF". Reuters. 20 February 2021.
- "Guatemala authorizes Sputnik V". PharmiWeb.com. Retrieved 1 April 2021.
- "Guinea Begins Administering Russia's Sputnik V Covid-19 Vaccine". Africa news. 31 December 2020.
- "Russia's Sputnik V vaccine expands its reach in Latin America". CNN. 3 March 2021.
- "Honduras approves use of Sputnik V vaccine against COVID-19". Xinhua News Agency. 25 February 2021.
- "Hungarian drug regulator approves Sputnik V vaccine: website". The Moscow Times. 7 February 2021.
- "Sputnik V vaccine registered in Bosnia and Herzegovina's Republika Srpska". TASS. 5 February 2021. Retrieved 8 February 2021.
- Spike J (22 March 2021). "Hungary approves 2 more vaccines from outside EU amid spike". The Washington Post. Retrieved 22 March 2021.
- "Iran approves Russian coronavirus vaccine Sputnik V". Reuters. 26 January 2021.
- "Sputnik V authorized in Iraq" (Press release). PharmiWeb.com. 4 March 2021.
- "Jordan approves Russia's Sputnik V vaccine for use against COVID-19" (Press release). Reuters. 10 March 2021.
- "Kazakhstan begins mass vaccination by Russian Sputnik V". 1 February 2021. Retrieved 19 February 2021.
- "Morocco, Kenya approve Russian coronavirus vaccine for use - RDIF". 10 March 2021. Retrieved 12 March 2021.
- "Sputnik V registered in Kyrgyzstan". Gamaleya Center (Press release). 23 February 2021.
- "Laos declares Covid-19 vaccinations safe, more to be inoculated next week". The Star. Malaysia. Retrieved 19 February 2021.
- "Lebanon authorises emergency use of Russia's Sputnik V vaccine". Reuters. 5 February 2021.
- "Mali approves Russia's Sputnik V vaccine - Russian sovereign wealth fund". Reuters. 30 March 2021.
- "Mauritius approves Russia's Sputnik V coronavirus vaccine - Russian RDIF fund". Reuters. 22 March 2021.
- "Mexico, Germany warm to Russia's Sputnik V virus vaccine". The Jakarta Post. 3 February 2021.
- "Mongolia Approves Russia's Sputnik V Coronavirus Vaccine – RDIF". Urdu Point. 9 February 2021.
- "Montenegro and St. Vincent approve Russia's Sputnik V vaccine – RDIF". Reuters. 12 February 2021.
- "Morocco orders one million doses of Russia's Sputnik V vaccine". Yabiladi. 11 March 2021.
- "Myanmar registers Russia's Sputnik V COVID-19 vaccine". TASS. Retrieved 19 February 2021.
- "Russian Direct Investment Fund". rdif.ru. Retrieved 1 April 2021.
- "Nicaragua approves Russian COVID-19 vaccine". wsoctv. 3 February 2021.
- "NRussia's Sputnik V COVID 19 vaccine registered in North Macedonia". TASS. 7 March 2021.
- "Palestine has become the first country in the Middle East to register Sputnik V vaccine". RFID. 11 January 2021.
- "Panama approves use of Russian vaccine". Newsroom Panama. 1 April 2021. Retrieved 2 April 2021.
- "Paraguay approves Russia's Sputnik V vaccine: RDIF". Reuters. 15 January 2021. Retrieved 15 January 2021.
- "Russia's Sputnik V approved for emergency use in PH". CNN Philippines. 19 March 2021. Retrieved 19 March 2021.
- "Public Health (Emergency Authorisation of COVID-19 Vaccine) Rules, 2021" (PDF). Government of Saint Vincent and the Grenadines. 11 February 2021. Retrieved 12 February 2021.
- "San Marino buys the Sputnik vaccine: "First doses already in the next few days"". Unioneonline. 20 February 2021.
- "Agencija odobrila uvoz ruske vakcine Sputnjik V u Srbiju". N1 (in Serbian). 31 December 2020.
- "Sputnik V vaccine approved in Seychelles". TASS. 19 March 2021.
- "Sri Lanka approves Russia's Sputnik V vaccine". The Hindu. 4 March 2021.
- "Syria authorizes use of Sputnik-V". Roya. 22 February 2021.
- "Sputnik V vaccine authorized in Tunisia" (Press release). Gamaleya Center. Retrieved 30 January 2021.
- "Turkmenistan is the first in Central Asia to have registered "Sputnik V" vaccine". Orient. 18 January 2021.
- "UAE approves Russia's Sputnik vaccine for emergency use". Khaleej Times. 21 January 2021. Retrieved 21 January 2021.
- "Uruguay to start covid 19 Vaccination in April 2021". India Blooms.
- "Uzbekistan Certifies Russia's Sputnik Vaccine For Mass Use". Agence France-Presse (Barron's). 17 February 2021.
- "Venezuela firma contrato para la adquisición de la vacuna rusa Sputnik V" (in Spanish). Reuters. 29 December 2020.
- "Vietnam approves US, Russia Covid-19 vaccines for emergency use". VnExpress. Retrieved 26 February 2021.
- "Covid-19: Zimbabwe authorises Sputnik V, Sinovac vaccines for emergency use". news24.com. 9 March 2021.
- McCluskey, Mitchell; Pozzebon, Stefano; Arias, Tatiana; Lister, Tim (3 March 2021). "Russia's Sputnik V vaccine expands its reach in Latin America". CNN. Retrieved 15 March 2021.
- "COVID vaccine: Italy to be first EU country to make RussiaN Sputnik V jab". Euronews. Agence France-Presse. 9 March 2021. Retrieved 15 March 2021.
- "RDIF inks contract with Malaysia to supply Sputnik V vaccine". TASS. 26 January 2021. Retrieved 21 March 2021.
- "Long queues in Pakistan to buy Sputnik V as private sales begin". TRTWorld. 5 April 2021.
- "Regulation and Prequalification". World Health Organization. Retrieved 12 March 2021.
- "EMA starts rolling review of the Sputnik V COVID-19 vaccine". European Medicines Agency. 4 March 2021. Retrieved 12 March 2021.
- "Belarus registers Sputnik V vaccine, in first outside Russia – RDIF". Reuters. 21 December 2020. Retrieved 22 December 2020.
- Turak N (21 January 2021). "Russia's Sputnik vaccine gets its first approval in the EU, greenlight from UAE amid ongoing trials". CNBC.
- "Coronavirus: Hungary first in EU to approve Russian vaccine". BBC News. 21 January 2021.
- Walker S (21 January 2021). "Hungary breaks ranks with EU to license Russian vaccine". The Guardian.
- "Hungary Becomes First in EU to Approve Russian Covid Vaccine". Bloomberg.com. 21 January 2021.
- "COVID: Hungary fast-tracks Russian vaccine with EU approval in the works | DW | 21.01.2021". DW.COM.
- "Russia files for Sputnik vaccine registration in EU". Euractiv.com. 20 January 2021.
- "Clarification on Sputnik V vaccine in the EU approval process" (Press release). European Medicines Agency (EMA). 10 February 2021.
- "EMA starts rolling review of the Sputnik V COVID-19 vaccine" (Press release). European Medicines Agency (EMA). 4 March 2021. Retrieved 4 March 2021.
- Ahmed A, Kumar AM (11 January 2021). "Russia's Sputnik V vaccine found safe in India mid-stage trial - Dr.Reddy's". Reuters. Retrieved 26 January 2021.
- "Da la Cofepris autorización para que la vacuna Sputnik V se aplique en México". Diario de Yucatán (in Spanish). 2 February 2021.
- "Iran approves Russia's Sputnik V COVID-19 vaccine". Al Jazeera.
- Reuters Staff (26 January 2021). "Iran approves Russian coronavirus vaccine Sputnik V". Reuters.
- "Sputnik V vaccines landed in Slovakia". The Slovak Spectator. 1 March 2021. Retrieved 2 March 2021.
- "Czech Republic turns to Russian vaccine amid soaring COVID cases". Al Jazeera. 28 February 2021. Retrieved 1 March 2021.
- Hovet, Robert Muller, Jason (7 April 2021). "Czech PM names fourth health minister amid Sputnik vaccine strife". Reuters. Retrieved 8 April 2021.
- REFRESHER. "Arenberger má záznamy ve složkách StB. Byl jsem člen KSČ, spolupracovník StB ne, brání se nový ministr". refresher.cz (in Czech). Retrieved 8 April 2021.
- "German leaders urge quick EU approval of Russia's Sputnik V jab" thelocal.de. Retrieved 20 March 2021.
- "Philippines grants emergency authorization for Russia's Sputnik V vaccine". ABS-CBN News. 19 March 2021. Retrieved 19 March 2021.
- "SPUTNIK V VACCINE AUTHORIZED IN PANAMA". sputnikvaccine.com. 1 April 2021. Retrieved 1 April 2021.
- "Slovak Regulator Says Sputnik V It Got Differs From Vaccine In Reviews". RadioFreeEurope/RadioLiberty. Retrieved 8 April 2021.
- Foy, Henry; Seddon, Max; Sciorilli, Silvia Borrelli (10 March 2021). "Russia seeks to make Sputnik V in Italy as overseas demand surges". Financial Times. Retrieved 10 March 2021.
- "More Countries Line Up for Russia's Sputnik V Coronavirus Vaccine". The Moscow Times. 13 November 2020.
- COVID vaccine: Italy to be first EU country to make Russian Sputnik V jab Euronews. Retrieved 11 March 2021.
- Shim, Elizabeth (25 February 2021). "South Korean consortium to make 500 million doses of Sputnik V vaccine". UPI. Retrieved 1 March 2021.
